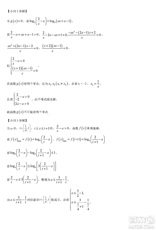
在高三年级,数学科目的备考难度很大,平时的考试机会一定得把握住,考完之后积极查漏补缺,这样才能拿到高分。今天整理了福州市2024届闽江口协作体高三上学期11月期中联考数学试题答案,一起来看看吧。

答案如下:






















福州市2024届闽江口协作体高三上学期11月期中联考语文试题答案
2023-11-16 11:11:58
在高三年级,语文科目的备考要求不少,大家想拿到好成绩就得勤做练习,考试机会务必要把握住。今天分享福州市2024届闽江口协作体高三上学期11月期中联考语文试题答案,感兴趣的可以
江西省稳派2024届高三11月一轮总复习调研测试生物试题答案
2023-11-16 11:01:21
小编整理了江西省稳派2024届高三11月一轮总复习调研测试生物试题答案,感兴趣的可以看过来。这是为高三年级学生搜集到的生物联考试题及答案,内容新颖,希望能帮助到你们。注意,答
江西省稳派2024届高三11月一轮总复习调研测试政治试题答案
2023-11-16 10:47:08
在高三年级,政治科目的备考内容不少,大家想拿到好成绩就得勤做练习,课余时间务必要把握住。今天分享江西省稳派2024届高三11月一轮总复习调研测试政治试题答案,内容丰富,感兴趣的
河南省天一大联考2023-2024学年高三上学期11月阶段性测试三英语试题答案
2023-11-16 10:37:38
进入高三年级,英语科目的备考要多花心思,课下务必勤做练习,争取把知识点掌握清楚,千万别偷懒。今天分享河南省天一大联考2023-2024学年高三上学期11月阶段性测试三英语试题答案,