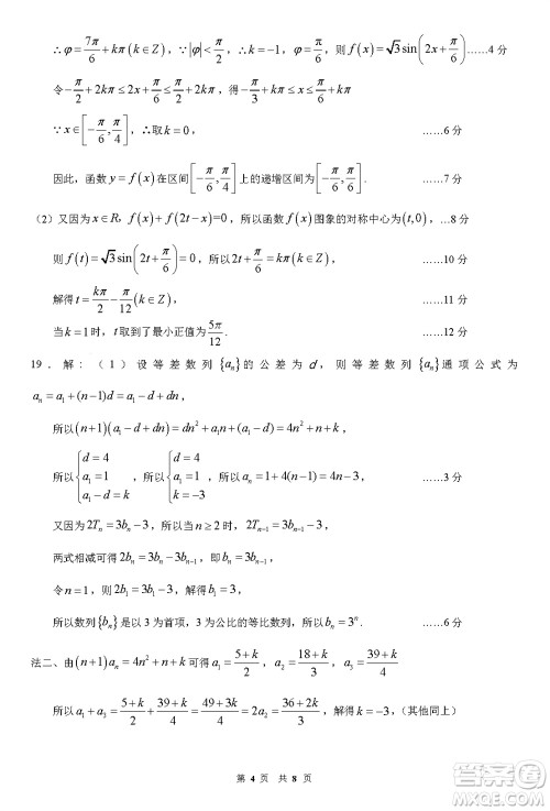
对于高三生来说,数学科目的备考难度很大,想要拿到好成绩就得多做练习,尤其是珍惜考试机会,积极查漏补缺。小编分享2024届福建五校协作高三上学期11月联考数学试题答案,感兴趣的可以看过来。

答案如下:












2024届福建五校协作高三上学期11月联考生物试题答案
2023-11-15 10:38:18
对于高三生来说,生物科目的备考要多花时间,尤其是课下,大家得勤做练习,这样才能提升自己的能力。小编分享2024届福建五校协作高三上学期11月联考生物试题答案,感兴趣的可以看过来
2024届福建五校协作高三上学期11月联考化学试题答案
2023-11-15 10:21:22
在高三年级,化学科目的备考要多花心思,除了把握课堂时间,考试机会也得珍惜,争取把知识点巩固好。小编分享2024届福建五校协作高三上学期11月联考化学试题答案,感兴趣的可以对照了
2024届福建五校协作高三上学期11月联考物理试题答案
2023-11-15 10:13:13
在高三年级,物理科目的备考难度不低,大家要珍惜时间,该做的练习一定得认真完成,千万别偷懒。今天分享2024届福建五校协作高三上学期11月联考物理试题答案,感兴趣的可以看过来,希望
海南省2023-2024学年高三学业水平诊断一数学试卷答案
2023-11-14 13:55:56
小编这次收集整理的是2024届海南高三天一联考一模的数学试卷答案,其他学科的也会陆续收集,这个适用于海南省学子,也是海南省的高三学业水平诊断测试,感兴趣的可以来看看多练习一