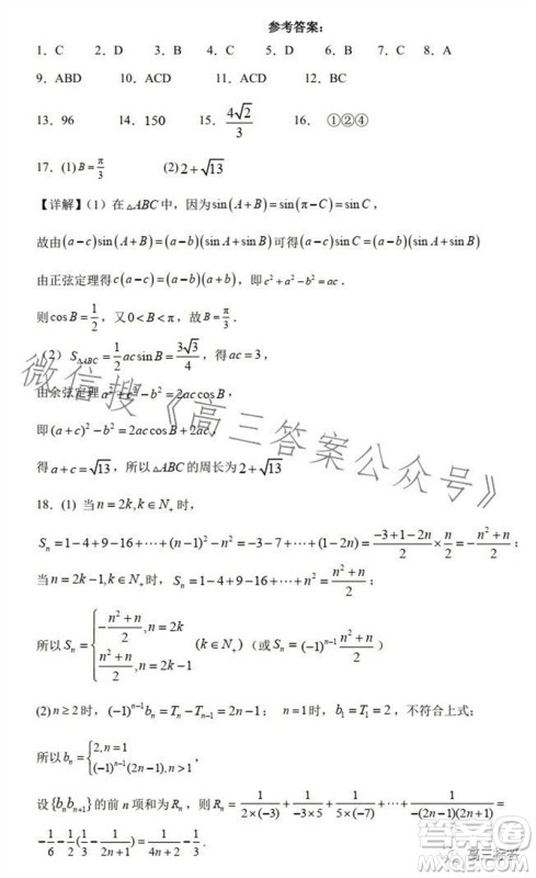
小编整理了河南省实验中学2023-2024学年高三上学期期中考试数学试题答案,感兴趣的可以看过来。这是为高三年级学生搜集到的数学试卷及答案,希望能帮助你们。当然,答案仅供参考哦,反思最重要!

答案如下:









河南省普高联考2023-2024学年高三测评三化学试卷答案
2023-11-06 15:20:29
在高三年级,化学科目的备考要求不低,大家要把握住机会,课余时间也得勤做练习,这样才能拿到好成绩。小编分享河南省普高联考2023-2024学年高三测评三化学试卷答案,赶紧看过来,希望
河南省普高联考2023-2024学年高三测评三地理试卷答案
2023-11-06 15:08:20
在高三年级,学生们的学习时间很紧张,考试机会非常多,大家要把握住机会,考完务必得有收获。今天整理了河南省普高联考2023-2024学年高三测评三地理试卷答案,感兴趣的可以对照看看,
河南省普高联考2023-2024学年高三测评三政治试卷答案
2023-11-06 14:53:20
今天分享河南省普高联考2023-2024学年高三测评三政治试卷答案,感兴趣的可以对照看看。对于高三生来说,考试机会是非常重要的,大家务必要把握住,就算成绩不好,结束之后也能查漏补
河南省普高联考2023-2024学年高三测评三生物试卷答案
2023-11-06 14:43:19
在高三年级,学生们要珍惜时间,每次考试之后要反思自己,争取把丢分的知识点弄清楚,这样才能有效提分。小编整理了河南省普高联考2023-2024学年高三测评三生物试卷答案,感兴趣的可