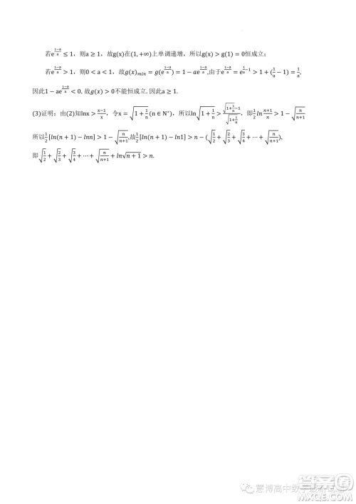
小编这次收集整理的是浙江杭金湖四校2024届高三上学期第六次联考的数学试题答案,这个是浙江地区的四校第六次联考,想要来练习一下的可以来看看哦,检查一下自己做的对不对吧!

答案如下,仅供参考!









九师联盟2023-2024学年高三核心模拟卷上四数学试卷答案
2023-10-25 16:15:02
小编这次收集整理的是九师联盟的新学期高三核心模拟试卷四系列的数学试卷的参考答案,做完了之后可以来核对一下,看看自己做对了多少题,这个对于自我成绩的评估还是非常有帮助的
2024届北海市高三第一次模拟考试语文试卷答案
2023-10-25 14:57:21
小编这次收集整理的是2024届北海市高三第一次模拟考试的语文试卷答案,这个系列的还有其他学科的,后续也会陆续收集整理,这个是北海市的高三联考,出题考查内容为高考范围,感兴趣的
百师联盟2024届高三一轮复习联考二语文试题答案
2023-10-25 14:37:45
小编这次收集整理的是百师联盟2024届高三一轮复习联考二的语文试题答案,这个系列的试卷还有其他学科的,站内直接搜百师联盟就可以搜到了,感兴趣的可以来看看,了解一下自己做的对
江苏南通2024届高三上学期10月份质量监测数学试题答案
2023-10-25 09:14:04
小编这次收集整理的是江苏南通2024届高三上学期10月份质量监测的数学试题答案,本试卷共22小题,满分150分,考试用时120分钟,这个系列的还是非常不错的,感兴趣的可以来看看哦!江苏南