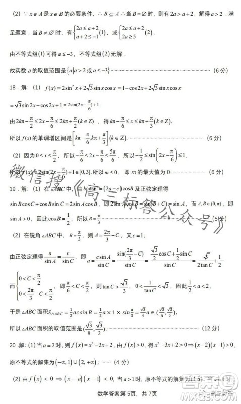
小编这次收集整理的是2024徽师联盟高三10月质量检测卷的数学试卷答案,这个系列的试卷还是很不错的,感兴趣的可以来看看,检查一下自己做的对不对,其他学科的也有收集整理,站内直接搜徽师联盟就可以搜到了!

答案如下,仅供参考!











2024徽师联盟高三10月质量检测卷物理试卷答案
2023-10-07 15:14:03
小编这次收集整理的是2024徽师联盟高三10月质量检测卷的物理试卷答案,本试卷还有其他学科的,站内直接搜徽师联盟就可以搜到,这个是十月质量检测卷哦,注意区分!2024徽师联盟高三10
2024徽师联盟高三10月质量检测卷语文试卷答案
2023-10-07 14:33:07
小编这次收集整理的是2024徽师联盟高三10月质量检测卷的语文试卷答案,本试卷命题范围为高考范围,这个系列的还是非常不错的,感兴趣的可以来看看,检查一下自己做的对不对吧!2024徽
2024届贵州高三适应性联考一数学试卷答案
2023-09-28 14:33:56
小编这次收集整理的是2024届贵州高三适应性联考一的数学试卷答案,贵州兴义八中高三数学组编写,本试卷共4页,22题,全卷满分150分,考试用时120分钟,这个系列的还有其他学科的,感兴趣
炎德英才名校联考联合体2024届高三第二次联考物理试卷答案
2023-09-27 16:39:20
小编这次收集整理的是炎德英才名校联考联合体2024届高三第二次联考的物理试卷答案,这个系列的考试还有收集整理其他学科的,有需要的可以站内直接搜炎德英才就可以搜到了!炎德英