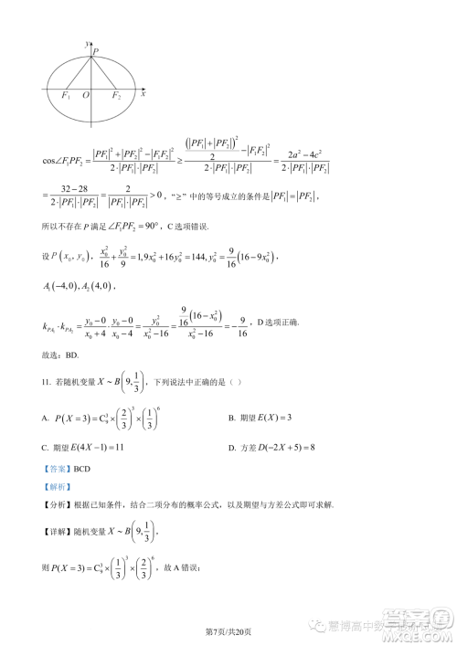
小编这次收集整理的是重庆市2024届高三上学期入学调研的数学试题答案,这个系列的还是非常不错的,感兴趣的可以来看看,各个地区现在都在做入学考试,也是为了评估学生的当前知识储备情况!

答案如下,仅供参考!




















宁德一中2023-2024学年高二上学期开学检测数学试题答案
2023-08-24 10:28:30
小编这次收集整理的是宁德一中2023-2024学年高二上学期开学检测的数学试题答案,这个系列的还有很多,现在大部分地区都开学了,开始备战开学考试,感兴趣的可以来看看哦!宁德一中202
2024届云南省三校高三上学期第二次联考数学试卷答案
2023-08-24 09:49:32
小编这次收集整理的是2024届云南省三校高三上学期第二次联考的数学试卷答案,这个是三校联考,开学考试的第二次联考了,感兴趣的可以来看看,检查一下自己做的对不对!2024届云南省三
扬州市2024届高三上学期期初考试数学试卷答案
2023-08-23 17:16:58
小编这次收集整理的是扬州市2024届高三上学期期初考试的数学试卷答案,这个系列的试卷小编也有整合语文试卷答案,有需要的可以站内直接搜扬州市就可以搜到了,这个是开学初考,也是
扬州市2024届高三上学期期初考试语文试卷答案
2023-08-23 16:50:49
小编这次收集整理的是扬州市2024届高三上学期期初考试的语文试卷答案,这个是开学考试,也是为了摸底学生的学习情况,针对性铺展第一轮复习。感兴趣的可以来看看,检查一下自己做的