小编这次收集整理的是江苏南通2023届高三高考前练习卷的数学试题答案,除了习题之外还附带数学参考答案和评分建议,也是为了学生在做完了之后更好的来评估自己的分数,对于自己当前的学习进度和复习有一个摸底把握,抓紧最后的时间来复习!

答案如下,仅供参考!











浙江精诚联盟2022-2023学年高二下学期5月联考数学试题答案
2023-05-30 11:23:22
小编这次收集整理的是浙江精诚联盟2022-2023学年高二下学期5月联考的数学试题答案,本卷共4页满分150分,考试时间120分钟,这个是高二的考试,也可以多练习练习,基本在高三阶段就要
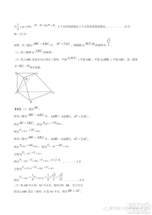
2023届新高考I卷临门一卷B卷数学试题答案
2023-05-30 10:50:12
小编这次收集整理的是2023届新高考I卷临门一卷B卷的数学试题答案,这个系列的还是非常不错的,之前也有整合A卷数学试卷题目,想要练习的可以搜一下临门一卷,多做练习把握题感,提升
湖南师大附中2023届模拟试卷三数学试题答案
2023-05-29 15:44:56
小编这次收集整理的是湖南师大附中2023届模拟试卷三的数学试题答案,命题人为高三数学备课组,这个是考前的最后模拟考试了,也综合了整个高中阶段的重要知识点,感兴趣的可以来看看
2023年合肥一中高三最后一卷语文试题答案
2023-05-29 15:23:21
小编这次收集整理的是2023年合肥一中高三最后一卷的语文试题答案,这个系列的还是非常不错的,考试时间150分钟,满分150分,感兴趣的可以来看看,检查一下自己做的对不对吧!2023年合肥