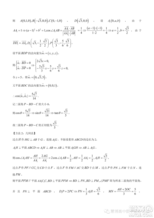
小编这次收集整理的是华中师范大学第一附属中学2023届高三下学期5月压轴卷的数学试题二试卷答案,命题学校华师一附中,这个系列的还是很不错的,也是华师一附中的五月月考,想要练习的可以来看看哦!

答案如下,仅供参考!
















安徽合肥八中2023届高三最后一卷数学试题答案
2023-05-26 10:21:16
小编这次收集整理的是安徽合肥八中2023届高三最后一卷的数学试题答案,这个系列的试卷还是非常不错的,也是合肥八中的测试模拟试卷,其他地区想要练习训练的可以来看看哦,检查一下
2023年普通高等学校招生全国统一考试模拟试题数学试卷答案
2023-05-26 09:34:23
小编这次收集整理的是2023年普通高等学校招生全国统一考试模拟试题的数学试卷答案,本试卷共4页,这个也是五月份的最新考试,感兴趣的可以来看看,多做练习模拟对于提升自己的成绩
天壹名校联盟2023届高三5月冲刺压轴大联考数学试卷答案
2023-05-25 16:58:04
小编这次收集整理的是天壹名校联盟2023届高三5月冲刺压轴大联考的数学试卷答案,这个系列的还是非常不错的,其他学科的也有整合,名校联盟很多地区都在用,这个是新高考模式的,不区
天壹名校联盟2023届高三5月冲刺压轴大联考语文试卷答案
2023-05-25 16:23:10
小编这次收集整理的是天壹名校联盟2023届高三5月冲刺压轴大联考的语文试卷答案,这个系列的试卷还是非常不错的,感兴趣的可以来练习一下,这次的是语文试卷,其他学科的站内直接搜