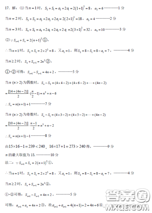
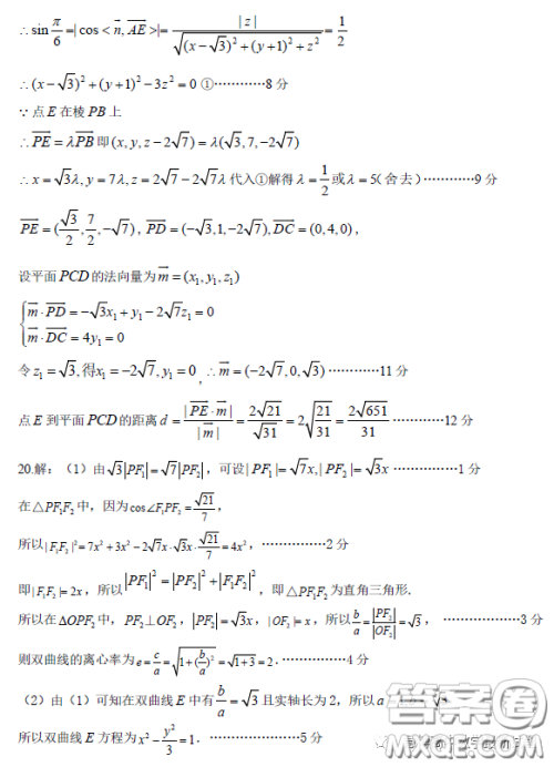
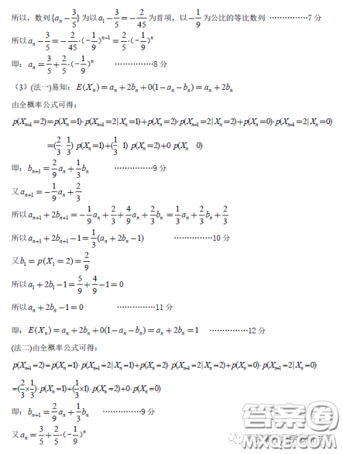
小编这次收集整理的是2023年茂名市高三级第二次综合测试的数学试卷答案,这个系列的是茂名市的高三二模考试,数学试卷还是相对来说出题不错的,也是针对第二轮的复习进行一个摸底排查,感兴趣的可以来看看哦!

答案如下,仅供参考!






















2023山西省高三二模数学试卷A试题答案
2023-04-17 09:51:30
小编这次收集整理的是2023山西省二模数学试卷A的试题答案,本试卷是山西省高三二模考试的数学试卷,这个也是四月份的考试,想要进行模拟练习的可以来看看,多做练习对于自己的成绩
河南TOP二十名校2022-2023学年高三下学期四月冲刺考一文科数学试卷答案
2023-04-15 10:40:07
小编这次收集整理的是河南TOP二十名校2022-2023学年高三下学期四月冲刺考一的文科数学试卷答案,这个系列的试卷共4页,考试时间120分钟,卷面总分150分,也有理科的,感兴趣的可以来
河南TOP二十名校2022-2023学年高三下学期四月冲刺考理科数学试卷答案
2023-04-15 10:26:22
小编这次收集整理的是河南TOP二十名校2022-2023学年高三下学期四月冲刺考的理科数学试卷答案,本试卷共4页,考试时间120分钟,卷满总分150分,感兴趣的可以来看看,还有文科试卷,站内
2023湖南新高考教学教研联盟高三第二次联考数学试卷答案
2023-04-15 10:24:15
小编这次收集整理的是2023湖南新高考教学教研联盟高三第二次联考的数学试卷答案 ,这次由长郡中学、衡阳市八中、永州市四中、岳阳县一中、湘潭县一中、湘西州民中、石门县一