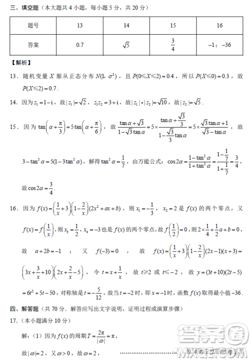
小编这次收集整理的是重庆巴蜀中学校2023高三适应性月考卷的数学试题答案,这次的考试是巴蜀中学高三第八次月考试卷,还有详细的解析参考答案,非常适合模拟练习,感兴趣的可以来看看哦!

答案如下,仅供参考!













2023届陕西省安康中学高三3月质量监测文科数学试卷答案
2023-03-31 11:40:05
小编这次收集整理的是2023届陕西省安康中学高三3月质量监测的文科数学试卷答案,还有理科数学试卷的参考答案和习题,站内直接搜安康中学就可以了,这个系列的还是非常不错的,也是
2023届陕西省安康中学高三3月质量监测理科数学试卷答案
2023-03-31 11:14:47
小编这次收集整理的是2023届陕西省安康中学高三3月质量监测的理科数学试卷答案,本试卷主要命题范围高考范围,这次的是陕西地区的高三三月考试,还有文科的数学试卷,站内直接搜安
遂宁市高2023届第二次诊断性考试理科数学试卷答案
2023-03-31 10:49:34
小编这次收集整理的是遂宁市高2023届第二次诊断性考试的理科数学试卷答案,这个是三月份额遂宁市高三二模考试的数学试卷理科分类,遂宁市采取的还是文理科的高考模式,如果是同一
2023届安徽皖北协作校高三3月联考数学试题答案
2023-03-31 10:18:43
小编这次收集整理的是2023届安徽皖北协作校高三3月联考的数学试题答案,本次试卷的主要考试内容为高考全部内容,这个系列的数学试卷非常适合当前模拟练习,感兴趣的可以来看看,检