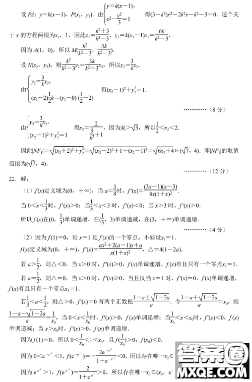
小编这次收集整理的是2023届丹东市高三总复习质量测试一的数学试卷答案,这个是符合辽宁省高考大纲的高三复习检测试卷 ,省内其他地市的可以使用这套试卷来进行模拟练习,快来一起看看吧!

答案如下,仅供参考!










南通市2023届高三第二次调研测试数学试卷答案
2023-03-30 15:17:52
小编这次收集整理的是南通市2023届高三第二次调研测试的数学试卷答案,本试卷共6页,满分150分,考试用时120分钟,答案如下,仅供参考,这个也是2023届江苏七市二模的高三数学试卷答案!
2023届湖北十一校第二次联考数学试题答案
2023-03-30 14:42:48
小编这次收集整理的是鄂南高中、黄冈中学、黄石二中、荆州中学、龙泉中学、武汉二中、孝感高中、襄阳四中、襄阳五中、宜昌一中、夷陵中学湖北十一校联合的第二次考试,这次数
郑州市2023高中毕业年级第二次质量监测理科综合试卷答案
2023-03-29 16:58:28
小编这次收集整理的是郑州市2023高中毕业年级第二次质量监测的理科综合试卷答案,还有语文、数学学科的也有收集,站内直接搜郑州市就可以了,这次的理科综合主要是生物化学和物理
郑州市2023高中毕业年级第二次质量监测理科数学试卷答案
2023-03-29 16:30:57
小编这次收集整理的是郑州市2023高中毕业年级第二次质量监测的理科数学试卷答案,这个系列的试卷小编也有收集其他学科的,站内直接搜郑州市就可以搜到了,这次的二模考试还是非常