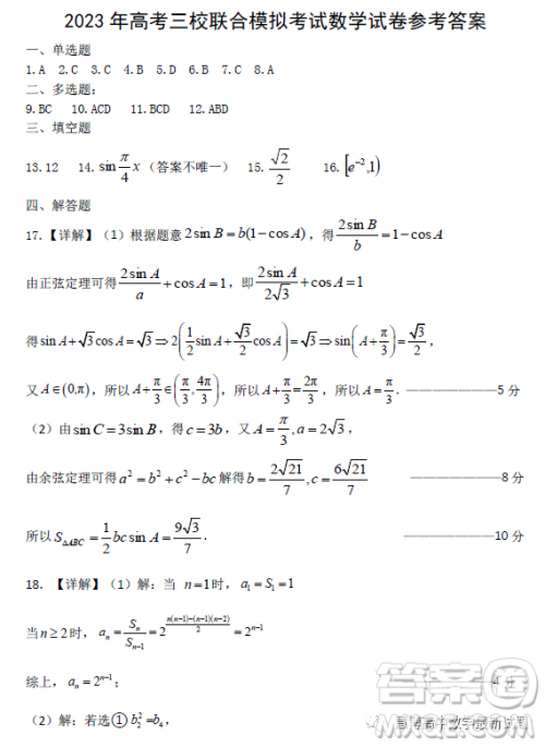
小编这次收集整理的是2023辽宁省大连24育明8中三校联合模拟考试的数学试卷答案,这个是3月24日的考试试卷,命题学校是大连市第八中学,这次主要是针对三月的一个复习进度和情况的摸底考核,对于大连市的高三学子的一次数学考试排查,感兴趣的可以来看看!

答案如下,仅供参考!











2023年哈三中高三第二次高考模拟考试数学试卷答案
2023-03-29 14:18:47
小编这次收集整理的是2023年哈三中高三第二次高考模拟考试数学试卷答案,就是哈三中的二模考试,这个月二模考试还是蛮多的,小编也整合了不少试卷习题,感兴趣的可以站内搜搜,多做做
河北省百万联考2023年3月高三诊断性模拟考试数学试卷答案
2023-03-29 13:53:49
小编这次收集整理的是百万联考的高三诊断性模拟考试的数学试卷答案,本次试卷的主要考试内容也是高中数学的高考全部范围,其实猜测高考数学题目,知识点上近几年还是有剑走偏锋的
2023届三湘名校高三第二次大联考试卷数学答案
2023-03-29 10:11:36
三湘名校教育联盟2023届高三第二次大联考数学试卷答案小编整合如下,这个系列的试卷还是很不错的,出题质量也还可以,适用于新高考的考前模拟,感兴趣的可以来看看哦!2023届三湘名校
郑州市2023年高三第二次质量预测语文试卷答案
2023-03-28 17:16:09
小编这次收集整理的是郑州市2023年高三第二次质量预测的语文试卷答案,这个系列的还有其他学科的,站内直接搜郑州市就可以了,这次的二模考试试卷整合了多个地区的,也是为了方便学