小编这次收集整理的是河北省的高三数学试卷,这个是高考前适应性训练考试,也是3月份的一次联考,在复习的过程中可以来练习一下,检查自己做的对不对,这个系列的还是非常不错的哦!

答案如下,仅供参考!












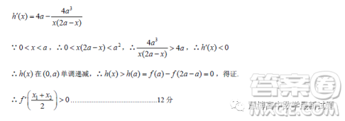
西安地区八校联考2023届高三数学文科试卷答案
2023-03-24 14:18:24
小编这次收集整理的是西安地区的八校联考的高三年级数学文科试卷习题和答案,这个系列的还有整合理科数学试卷,站内直接搜八校联考就可以搜到,多做模拟练习不要直接照抄,学习还是
西安地区八校联考2023届高三数学理科试卷答案
2023-03-24 13:51:19
小编这次收集整理的是陕师大附中、西安高级中学、西安高新一中、西安交大附中、西安市83中、西安市85中、西安市一中、西安铁一中、西安中学、西工大附中八校联考的数学高三
温州市普通高中2023届高三第二次适应性考试数学试题卷答案
2023-03-24 11:12:09
小编这次收集整理的是温州市普通高中2023届高三第二次适应性考试的数学试题卷答案,本试卷共6页22小题,满分150分,考试用时120分钟,这个是3月的考试,感兴趣的可以来看看哦!温州市普
2023金太阳高三联考808CHEB语文试卷答案
2023-03-23 17:04:58
小编这次收集整理的是2023金太阳高三联考808CHEB的语文试卷答案,也是百万联考高三诊断性模拟考试的语文试卷答案,目前只有参考答案和解析,如果有试卷题目,会及时更新,方便大家自