小编这次收集整理的是贵州铜仁市2023高考模拟检测二的数学理科试卷答案,这个系列的试卷是铜仁二模考试的试卷习题和参考答案,还是很有训练意义的,感兴趣的可以来看看,非常适合贵州地区的学校进行模拟练习!

答案如下,仅供参考!












南充市高2023届高考适应性考试二诊文科数学试卷答案
2023-03-20 17:38:51
小编这次收集整理的是南充市高2023届高考适应性考试二诊的文科数学试卷答案,这个系列的是南充市高三三月的二诊考试的文科数学试卷,南充地区的高考模式还是要分文理科的,感兴趣
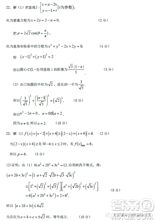
南充市高2023届高考适应性考试二诊理科数学试卷答案
2023-03-20 17:03:40
小编这次收集整理的是南充市高2023届高考适应性考试二诊的理科数学试卷答案,这个系列的还有文科数学的模拟试卷和参考答案,在做完了之后可以根据解析和答案来找自我评估分数,高
咸阳市2023年高考模拟检测二语文试卷答案
2023-03-18 13:47:28
小编这次收集整理的是咸阳市2023年高考模拟检测二的语文试卷答案,这个是高三二模考试,咸阳市多校联考,出题的水平还是不错的,感兴趣的可以来看看,检查一下自己做的对不对,这个系列
2023届湖南新高考教学教研联盟高三第一次联考历史试卷答案
2023-03-17 16:35:48
小编这次收集整理的是2023届湖南新高考教学教研联盟高三第一次联考的历史试卷答案,主要是由长郡中学、衡阳市八中、永州市四中、岳阳县一中、湘潭县一中、湘西州民中、石门县