小编这次收集整理的是2023年兰州市高三诊断考试的文科数学试卷答案,这个系列的还有其他学科的,站内直接搜兰州市就可以了,这是三月的考试,其他地区的也可以来看看,检查一下自己的复习进度吧!

答案如下,仅供参考!












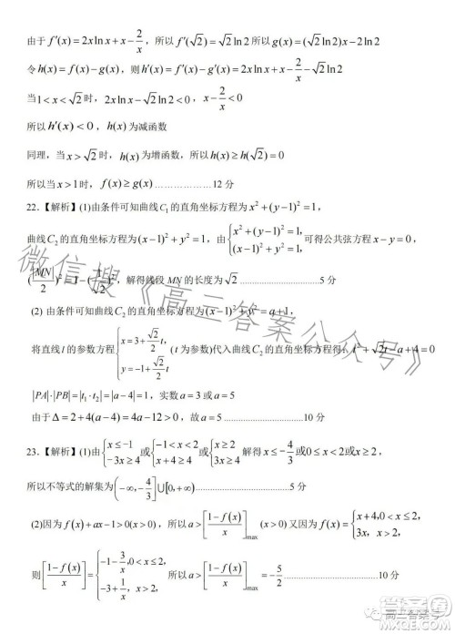
2023年兰州市高三诊断考试理科数学试卷答案
2023-03-10 14:35:46
小编这次收集整理的是2023年兰州市高三诊断考试的理科数学试卷答案,这个系列的试卷是兰州一诊最新三月的试卷模拟,其他地区想要做模拟练习的可以来看看,本试卷满分150分,考试用
2023年兰州市高三诊断考试语文试卷答案
2023-03-10 14:23:52
小编这次收集整理的是2023年兰州市高三诊断考试的语文试卷答案,这次的是兰州一诊考试,也是兰州三月初的考试模式,还是非常不错的,这个系列的考试还有很多,感兴趣的可以来看看,多做
2023金太阳3月联考807C高三历史试卷答案
2023-03-10 11:47:55
小编这次收集整理的是金太阳3月9日联考的高三历史试卷的答案,这个也是807C系列的,和之前整理的是一套试卷,想要模拟的可以站内搜一下807C,多做模拟练习对于考试备考还是非常有帮
2023金太阳3月联考807C高三物理试卷答案
2023-03-10 11:24:43
小编这次收集整理的是2023金太阳3月联考807C的高三物理试卷答案,其他学科的也有整理,站内直接搜金太阳就可以了,这个是3月9日的考试,也是河北省、湖南省多省高校的联考,还是非常