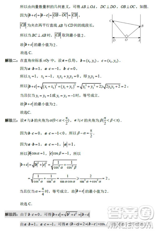
小编这次收集整理的是泉州市的高三第三次质量监测数学试卷的习题和参考答案,还有详细的解析和命题思路,非常适合用来分析高三的数学考试和复习方向,感兴趣的可以来看看哦,检查一下自己做的对不对吧!

答案如下,仅供参考!










































2023届福建厦门高三二模数学试题答案
2023-03-08 17:35:43
小编这次收集整理的是厦门市2023届高三毕业班第二次质量监测数学试卷答案,也就是厦门市高三二模考试的数学参考答案,这次的二模联考还是非常不错的,贴合当前复习进度,也可以很好
天一大联考2022-2023学年高中毕业班阶段性测试五理科综合试卷答案
2023-03-07 16:36:54
小编这次收集整理的是天一大联考2022-2023学年高中毕业班阶段性测试五的理科综合试卷答案,这次的试卷还是很不错的,多校联合考试,语数外都有收集整理,站内直接搜天一大联考就可
天一大联考2022-2023学年高中毕业班阶段性测试五文科综合答案
2023-03-07 16:17:28
小编这次收集整理的是天一大联考2022-2023学年高中毕业班阶段性测试五的文科综合答案,包含了地理、政治、历史三个主要学科,还有收集其他学科的答案和试题,站内直接搜天一大联
天一大联考2022-2023学年高中毕业班阶段性测试五英语试卷答案
2023-03-07 15:37:20
小编这次收集的是天一大联考2022-2023学年高中毕业班阶段性测试五的英语试卷答案,这个系列的还有其他学科的,站内直接搜天一大联考,试卷的习题和参考答案还是很齐全的,感兴趣的