小编这次收集整理的是深圳宝安区2022-2023学年第一学期调研测试卷系列的高三数学的试题答案,现在很多地区的学校都在进行高三模拟考试和调研考试,其实也是为了方便了解学生的学习和复习情况,加强复习,提升学生的学习能力和水平,争取在高考中能稳中求胜。

答案如下,仅供参考!









蓉城名校联盟2020级高三第一次联考文科数学试题及答案
2022-10-30 16:25:32
小编这次收集整理的是蓉城名校联盟2020级高三第一次联考理科数学试题及答案,这个是四川成都地区多所名校联考,针对高三第一个阶段的复习进行测试,让学生能很好的了解自己的复习
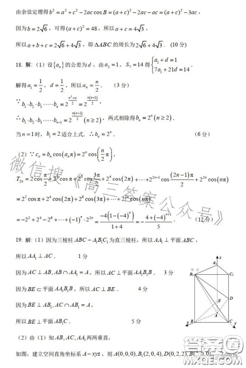
蓉城名校联盟2020级高三第一次联考理科数学试题及答案
2022-10-30 16:20:34
蓉城名校联盟系列的小编这次收集整理的是2020级高三第一次联考理科数学试题及答案,前面也有整合语文的试卷和答案,有需要的可以站内搜蓉城名校联盟就可以了,这个试卷是联考试卷
蓉城名校联盟2020级高三第一次联考语文试卷及答案
2022-10-30 15:56:16
小编这次收集整理的是蓉城名校联盟2020级也就是2022年10月的高三第一次联考语文的试卷习题及答案,想要测试的小伙伴可以来看看,在答题时间内答题,完了之后根据参考答案来核对自
2022-2023学年度武汉市部分学校高三年级九月调研考试生物学答案
2022-09-15 16:56:15
小编这次收集整理的是武汉市的部分学校高三年级九月调研考试的试卷和参考答案,如果想用这套试卷进行模拟测试的可以来看看哦,得分点也有详细分布,希望能够帮到大家!2022-2023学