南昌市2023届高三摸底测试卷理科数学试题及答案小编已经收集整理好了,每个学生的知识盲区是不一样的,所以学习时虽然是跟着老师的课堂走,但也根据自己的实际情况,解决自己难题。考完的伙伴可以来答案圈核对答案!

本次联考的其他科目答案圈也是有收集整理的,小伙伴们可以在答案圈高三年级搜索查看!








南昌市2023届高三摸底测试卷文科数学试题及答案
2022-09-05 10:43:18
南昌市2023届高三摸底测试卷文科数学试题及答案小编已经收集整理好了,高三伙伴在学习中要注意保持充沛的精力,因为当疲劳学习时,思路变得不清晰,面对大量的知识,会觉得很乏味,无法
南昌市2023届高三摸底测试卷语文试题及答案
2022-09-05 10:28:58
南昌市2023届高三摸底测试卷语文试题及答案小编已经收集整理好了,大部分同学都认为,只要在学习上花的时间多,成绩就一定能提升。然而事实并非如此,当你不能真正投入一件事情时,即
绵阳南山中学2022年秋高2020级入学考试理科数学试题及答案
2022-09-05 09:16:01
绵阳南山中学2022年秋高2020级入学考试理科数学试题及答案小编已经收集整理好了,高三学生,面对各种考试,面对考试成绩的起伏和心情的变化,要学会反思和总结,学会客观和冷静,学会交
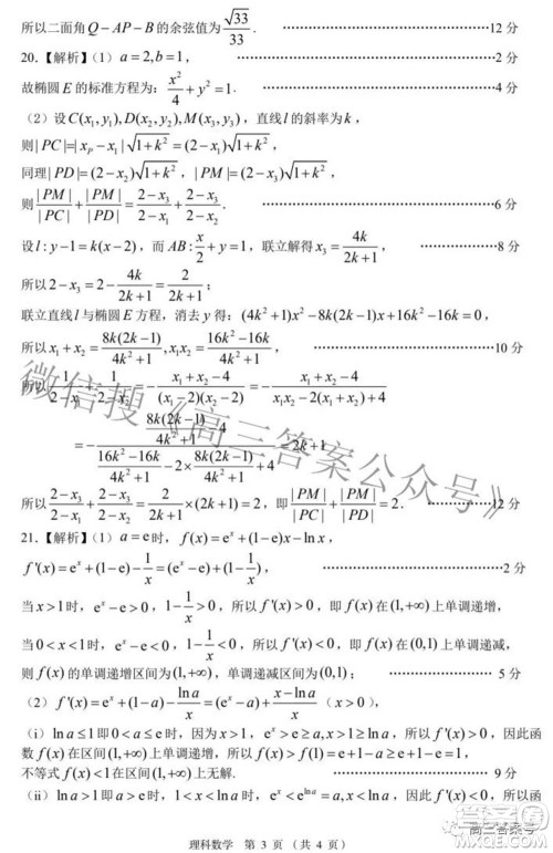
江西省2023届新高三入学摸底考试理科数学试题及答案
2022-09-03 10:08:57
江西省2023届新高三入学摸底考试理科数学试题及答案小编已经收集整理好了,上进教育研究院命题,针对新入学的高三伙伴,及时的摸清学生自身的学习情况,为接下来紧张的高三学习做好