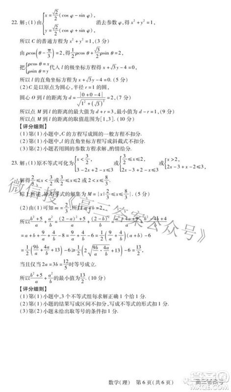
江西省2023届新高三入学摸底考试理科数学试题及答案小编已经收集整理好了,上进教育研究院命题,针对新入学的高三伙伴,及时的摸清学生自身的学习情况,为接下来紧张的高三学习做好准备,考完的伙伴可以来答案圈核对答案!

本次联考的其他科目答案圈也是有收集整理的,小伙伴们可以在答案圈高三年级搜索查看!










成都树德中学2020级高三上期入学考试理科数学试题及答案
2022-09-01 08:47:52
成都树德中学2020级高三上期入学考试理科数学试题及答案小编已经收集整理好了,帮助大家收心和检验大家对高中知识的掌握情况,为接下来的复习备考做好铺垫。考完需要核对答案的
银川一中2023届高三年级第一次月考理科数学试题及答案
2022-08-31 16:45:10
银川一中2023届高三年级第一次月考理科数学试题及答案小编已经收集整理好了,同学之间可以相互激励,我们应该和同学多交流,取他人之长为我所用,但更重要的还是认真做好自己的复习
包头市2022-2023学年度第一学期高三年级调研考试理科数学试题及答案
2022-08-31 09:31:52
包头市2022-2023学年度第一学期高三年级调研考试理科数学试题及答案小编已经收集整理好了,到高三数学课程就进入了总复习阶段,通过复习,学生要能检测出自己那些知识点掌握了,那
2023届金太阳8月联考1001C高三理科数学试题及答案
2022-08-30 14:55:25
2023届金太阳8月联考1001C高三理科数学试题及答案小编已经收集整理好了,每一个阶段都有计划,同时也要把任务分化到每一个星期每一天,小计划的学习内容要具体到位,而且争取每个星