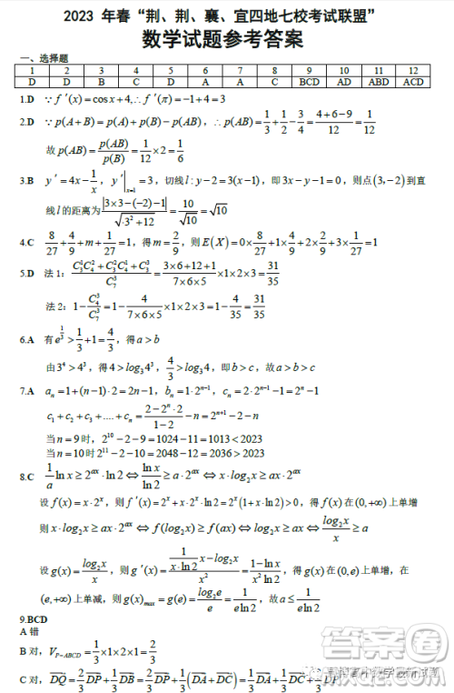
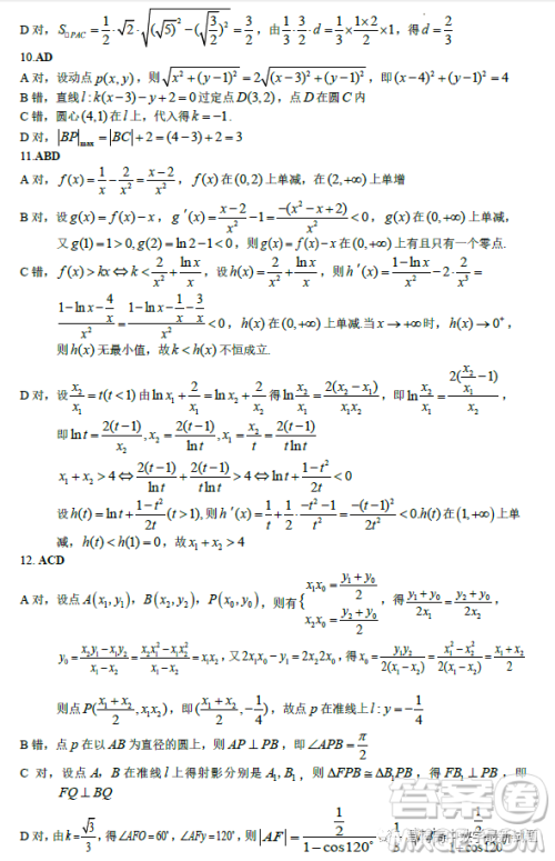
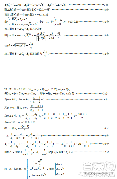
小编这次收集整理的是2023年春荆荆襄宜四地的七校考试联盟高二期中联考,这个是湖北地区的高二数学考试,其他地区的也可以借鉴模拟,感兴趣的可以来看看,高二的试卷还是相对来说比较少一些的!

答案如下,仅供参考!











2023年汕头市普通高考第二次模拟考试试题数学答案
2023-04-27 09:26:43
小编这次收集整理的是2023年汕头市普通高考第二次模拟考试试题的数学答案,这个也是汕头市高三二模考试,试卷出题水平还不错,这个非常适合其他地区的小伙伴也来试试,多做模拟题对
四川2023年金太阳高三4月联考23399C语文试卷答案
2023-04-26 13:53:41
小编这次收集整理的是四川地区的高三4月25日的联考语文试卷,这个是金太阳系列的,本试卷主要考试内容为高考全部内容,感兴趣的可以来看看,其他学科的也有,站内直接搜金太阳就可以
2023九师联盟4月20日质量监测高三理科综合试卷答案
2023-04-24 08:42:15
小编这次收集整理的是2023九师联盟4月20日质量监测的高三理科综合试卷答案,本试卷分选择题和非选择题两部分,满分300分,考试时间150分钟,可能用到的相对原子质量也有标记,感兴趣
2023九师联盟4月20日质量监测高三文科综合试卷答案
2023-04-23 14:19:21
小编这次收集整理的是2023九师联盟4月20日质量监测的高三文科综合试卷答案,本试卷命题范围为高考范文,其他学科的也有站内直接搜九师联盟就可以了,不要照抄哦,试卷的主要功能还