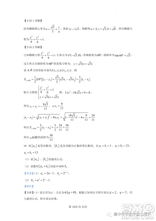
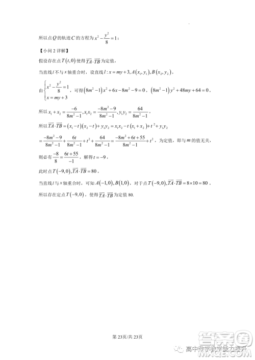
小编这次收集整理的是武汉外国语学校高二年级上学期期末考试的数学试题答案,这个是武汉外国语学校的高二期末考试,也是为了考核学生在上学期学习的怎么样了,其他地区的学生特别是武汉或者湖北地区的学生可以用这套来进行模拟练习,看看自己掌握了多少知识吧!

答案如下,仅供参考!



























九师联盟2023届高三1月第一次联考数学试卷答案
2023-01-18 16:58:29
小编这次收集整理的是九师联盟2023届高三1月第一次联考的数学试卷答案,这个是元月的考试,高三数学不分文理科,在做的时候要区分一下,这个版本的联考试卷不适合分文理科的地区学
全国名校大联考2022-2023学年高三第六次联考文科数学试卷答案
2023-01-18 14:41:42
小编这次收集整理的是全国名校大联考系列的高三第六次联考试卷的文科数学试卷习题和答案,这个是第六次也是2023年的第一次大联考了,全国名校大联考试卷含金量还是很高的,很多地
2023届河南金太阳高三期末联考23294C英语试卷答案
2023-01-18 14:10:32
小编这次收集整理的是2023届河南金太阳高三期末联考23294C的英语试卷答案,这个系列的还有其他学科的,站内搜金太阳或者河南就可以搜到,对应编号的才是一套,在模拟的时候不要找错
2023届河南金太阳高三期末联考23294C理科数学试卷答案
2023-01-18 13:35:46
小编这次收集整理的是2023届河南金太阳高三期末联考23294C的理科数学试卷答案,这个系列的是小编收集整理的河南地区的高三期末联考,也有其他科目比如语文、文科数学等等,做完了