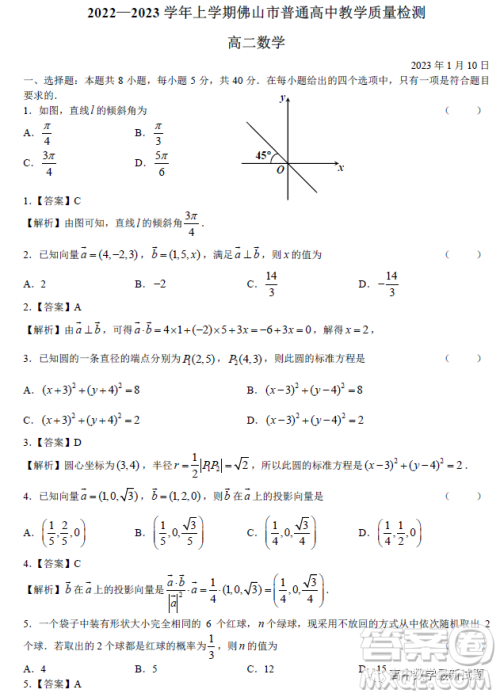
小编这次收集整理的是2022-2023学年上学期佛山普通高中教学质量监测的高二数学试题答案,这个是2023年1月佛山统考,其他地区的想要进行模拟练习的也可以来看看,检查一下,看看自己做的对不对吧!

答案如下,仅供参考!













湖北省重点高中智学联盟2022年秋季高二年级期末联考数学试题答案
2023-01-10 14:36:32
小编这次收集整理的是湖北省重点高中智学联盟2022年秋季高二年级期末联考的数学试题答案,命题学校是蕲眷县第一高级中学,还是非常不错的,湖北地区很多高中都在用这套试卷,其他学
张家口市2022-2023学年高二上学期期末考试数学试卷答案
2023-01-10 09:55:19
小编这次收集整理的是张家口市2022-2023学年度高二年级第一学期期末考试的数学试卷,高三的也有整理,张家口市的统一考试,难度还是可以的,也是为了检测大家在高二学期学的怎么样,
成都蓉城名校联盟2022-2023学年度上期高二期末联考文科数学试卷答案
2023-01-09 10:07:45
小编这次收集整理的是成都蓉城名校联盟2022-2023学年度上期高二期末联考的文科数学试卷答案,还有理科数学试卷也有整合,站内直接搜蓉城联盟,这次的模拟考试还是很不错的,很多高
四川成都蓉城名校联盟2022-2023学年度上期高二期末联考理科数学试卷答案
2023-01-09 09:46:45
小编这次收集整理的是四川成都蓉城名校联盟2022-2023学年度上期高二期末联考的理科数学试卷答案,这个是蓉城名校联盟的考试,高一到高三都有,这次整理的是高二的理科数学试卷答