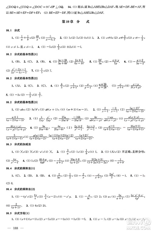
今天小编为同学们整理了江苏凤凰科学技术出版社2025年春数学补充习题八年级数学下册苏科版答案,本练习题型丰富,基于课标的阶梯式训练体系,系统提升数学思维,同步强化知识掌握与思维能力,本书的ISBN为9787553722740,练习完的同学们可以来答案圈核对一下答案。

答案如下,仅供参考:











人民教育出版社2025年春补充习题八年级数学下册人教版答案
2025-05-19 15:41:32
今天小编为同学们整理了人民教育出版社2025年春补充习题八年级数学下册人教版答案,本练习严格遵循课程标准体系,采用阶梯式能力训练模型,系统培养数学思维结构,实现知识内化与认
广西师范大学出版社2025年春自主与互动学习新课程学习辅导八年级数学下册人教版答案
2025-05-16 18:03:49
今天小编为同学们整理了广西师范大学出版社2025年春自主与互动学习新课程学习辅导八年级数学下册人教版答案,本练习基于课程标准,通过结构化设计实现知识体系建构,强化迁移应用
青海人民出版社2025年春新坐标同步练习八年级数学下册人教版青海专版答案
2025-05-16 11:21:01
今天小编为同学们整理了青海人民出版社2025年春新坐标同步练习八年级数学下册人教版青海专版答案,本练习紧扣教材体系,强化基础、拓展思维,帮助学生系统掌握知识,提升应用能力,全
明天出版社2025年春智慧学习导学练八年级数学下册人教版答案
2025-05-16 08:48:11
今天小编为同学们整理了明天出版社2025年春智慧学习导学练八年级数学下册人教版答案,本练习教材同步阶梯式训练,夯实基础→提升思维→构建体系,三步攻克数学核心方法,学习效率翻