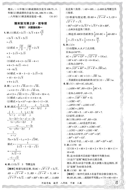
八年级数学难度不小,同学们要多做练习,拓展同学们的思维能力和解题能力,今天小编为同学们整理了江西人民出版社2024年春王朝霞各地期末试卷精选八年级数学下册人教版河南专版答案,练习完的同学可以来答案圈核对一下答案。

答案如下,仅供参考:































江西人民出版社2024年春王朝霞各地期末试卷精选七年级数学下册人教版河南专版答案
2024-05-24 10:21:35
数学这门学科会随着年级的增加而增长,同学们要多做练习训练,提升成绩,今天小编为同学们整理了江西人民出版社2024年春王朝霞各地期末试卷精选七年级数学下册人教版河南专版答案
江西人民出版社2024年春王朝霞各地期末试卷精选九年级英语下册人教版河南专版答案
2024-05-24 10:10:29
初中英语会增加难度,同学们要对这门学科重视起来,在课下多做练习,今天小编为同学们整理了江西人民出版社2024年春王朝霞各地期末试卷精选九年级英语下册人教版河南专版答案,练习
江西人民出版社2024年春王朝霞各地期末试卷精选八年级英语下册人教版河南专版答案
2024-05-24 09:59:43
英语这门学科在初中难度不小,同学们想要提升英语成绩需要多记单词多做练习,今天小编为同学们整理了江西人民出版社2024年春王朝霞各地期末试卷精选八年级英语下册人教版河南专
江西人民出版社2024年春王朝霞各地期末试卷精选七年级英语下册人教版河南专版答案
2024-05-24 09:39:37
七年级同学们接触了很多新的学科,同学们要在课下多做练习训练,今天小编为同学们整理了江西人民出版社2024年春王朝霞各地期末试卷精选七年级英语下册人教版河南专版答案,练习完