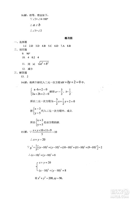
今天小编为同学们整理了中西书局2024精彩假期寒假作业八年级合订本通用版答案,本练习根据所学的知识进行编写,题型丰富全面,可以让同学们在假期及时来回顾所学的知识点,练习完的同学们可以来答案圈核对一下答案。

答案如下,仅供参考:
































中西书局2024精彩假期寒假作业七年级合订本通用版答案
2024-01-29 11:03:38
进入初中,各学科的难度都不小,同学们要重视起来,通过练习来及时巩固所学的知识点,提升成绩,今天小编为同学们整理了中西书局2024精彩假期寒假作业七年级合订本通用版答案,练习完的
译林出版社2024寒假学习生活八年级合订本通用版答案
2024-01-29 09:47:29
进入八年级,各学科的难度都会有所增加,同学们在假期可以通过练习来掌握好所学的知识点,提升成绩,今天小编为同学们整理了译林出版社2024寒假学习生活八年级合订本通用版答案,练习
江苏人民出版社2023年学习与探究暑假学习八年级合订本通用版答案
2023-08-16 17:20:31
今天小编为同学们整理了江苏人民出版社2023年学习与探究暑假学习八年级合订本通用版答案,本练习知识点丰富,精选典型好题,总结解题通法和答题模板,帮助同学们掌握核心解题能力,练
江苏凤凰科学技术出版社2023年快乐过暑假八年级合订本苏教版答案
2023-07-24 09:40:18
今天小编为同学们整理了江苏凤凰科学技术出版社2023年快乐过暑假八年级合订本苏教版答案,本练习根据教材知识点编写,让同学们通过练习掌握好所学的知识,提升学习能力。练习完的