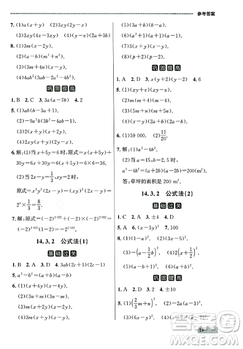
今天小编为同学们整理了大连出版社2023年秋点石成金金牌每课通八年级数学上册人教版辽宁专版答案,本练习知识丰富,题型全面,可以帮助同学们更好的掌握所学的知识点,提升成绩,练习完的同学们可以来答案圈核对一下答案。

答案如下,仅供参考:



































































大连出版社2023年秋点石成金金牌每课通七年级数学上册人教版辽宁专版答案
2023-12-14 17:23:13
七年级的数学难度不小,同学们要重视起来,从现在开始巩固好课堂上所学的知识点,今天小编为同学们整理了大连出版社2023年秋点石成金金牌每课通七年级数学上册人教版辽宁专版答案
大连出版社2023年秋点石成金金牌每课通一年级数学上册北师大版答案
2023-12-14 17:04:24
今天小编为同学们整理了大连出版社2023年秋点石成金金牌每课通一年级数学上册北师大版答案,本练习内容丰富,帮助同学们通过训练来巩固知识,同时拓展知识点,提升成绩,练习完的同学
大连出版社2023年秋点石成金金牌每课通二年级数学上册北师大版答案
2023-12-14 16:51:28
今天小编为同学们整理了大连出版社2023年秋点石成金金牌每课通二年级数学上册北师大版答案,本练习将知识结合到训练当中,让同学们可以在课下通过练习来巩固课堂上所学的知识,练
大连出版社2023年秋点石成金金牌每课通三年级数学上册北师大版答案
2023-12-14 16:36:22
数学这门学科在三年级难度还不大,同学们可以从现在开始打好基础,巩固好知识点,今天小编为同学们整理了大连出版社2023年秋点石成金金牌每课通三年级数学上册北师大版答案,练习完