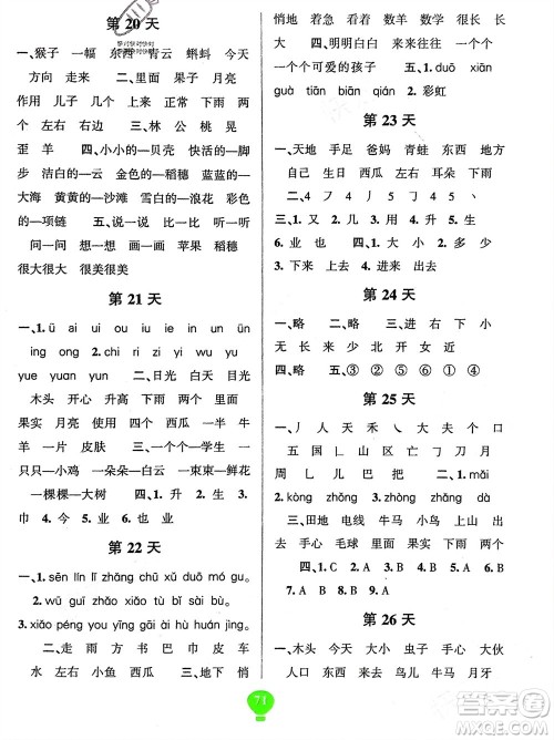
今天分享云南科技出版社2024快乐寒假假期作业一年级语文人教版参考答案,感兴趣的可以收藏起来。对于一年级的小学生来说,语文科目的学习不算很难,大家只要多写多读,成绩就不会差!

答案如下:





云南科技出版社2024快乐寒假假期作业一年级数学人教版参考答案
2024-01-31 14:33:11
在小学一年级,数学科目的学习刚刚起步,大家得养成积极完成作业的好习惯,这样才能拿到好成绩。小编整理了云南科技出版社2024快乐寒假假期作业一年级数学人教版参考答案,一起来看
云南科技出版社2024快乐寒假假期作业二年级语文人教版参考答案
2024-01-31 13:34:33
在小学二年级,语文科目的学习内容不少,大家想拿到好成绩就得把握寒假时间,争取多做练习。小编分享云南科技出版社2024快乐寒假假期作业二年级语文人教版参考答案,感兴趣的可以看
云南科技出版社2024快乐寒假假期作业二年级数学人教版参考答案
2024-01-31 11:53:06
在小学二年级,数学科目的学习很重要,大家寒假期间得勤做练习,努力把知识点掌握清楚。小编分享云南科技出版社2024快乐寒假假期作业二年级数学人教版参考答案,赶紧看过来,切勿照抄
云南科技出版社2024快乐寒假假期作业三年级语文人教版参考答案
2024-01-31 09:19:12
今天整理了云南科技出版社2024快乐寒假假期作业三年级语文人教版参考答案,内容丰富,感兴趣的可以看过来。这是为小学三年级学生搜集到的寒假练习册答案,希望能帮到你们。不过,答