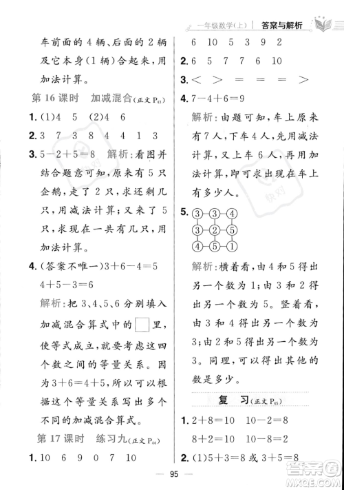
一年级的数学难度还不大,同学们可以从现在开始端正学习态度,认真学好这门学科,今天小编为同学们整理了陕西人民教育出版社2023年秋小学教材全练一年级上册数学江苏版答案,练习完的同学可以来答案圈核对一下答案。

答案如下:






































陕西人民教育出版社2023年秋小学教材全练六年级上册英语人教PEP版答案
2023-09-01 11:40:39
英语这门学科需要同学们多记单词多做练习,通过训练来巩固知识,拓展词汇量,今天小编为同学们整理了陕西人民教育出版社2023年秋小学教材全练六年级上册英语人教PEP版答案,练习完
陕西人民教育出版社2023年秋小学教材全练五年级上册英语人教PEP版答案
2023-09-01 11:27:26
五年级的英语难度不小,同学们在课下要多花时间,通过训练来巩固好帅所学的知识,今天小编为同学们整理了陕西人民教育出版社2023年秋小学教材全练五年级上册英语人教PEP版答案,练
陕西人民教育出版社2023年秋小学教材全练四年级上册英语人教PEP版答案
2023-09-01 11:16:34
四年级的英语难度会有所提升,同学们要重视起来,在课下要多花时间,通过训练来巩固好知识,今天小编为同学们整理了陕西人民教育出版社2023年秋小学教材全练四年级上册英语人教PEP
陕西人民教育出版社2023年秋小学教材全练三年级上册英语人教PEP版答案
2023-09-01 11:08:58
英语这门学科需要同学们多花时间,在课下多记单词多做练习,巩固好所学的知识点,今天小编为同学们整理了陕西人民教育出版社2023年秋小学教材全练三年级上册英语人教PEP版答案,练