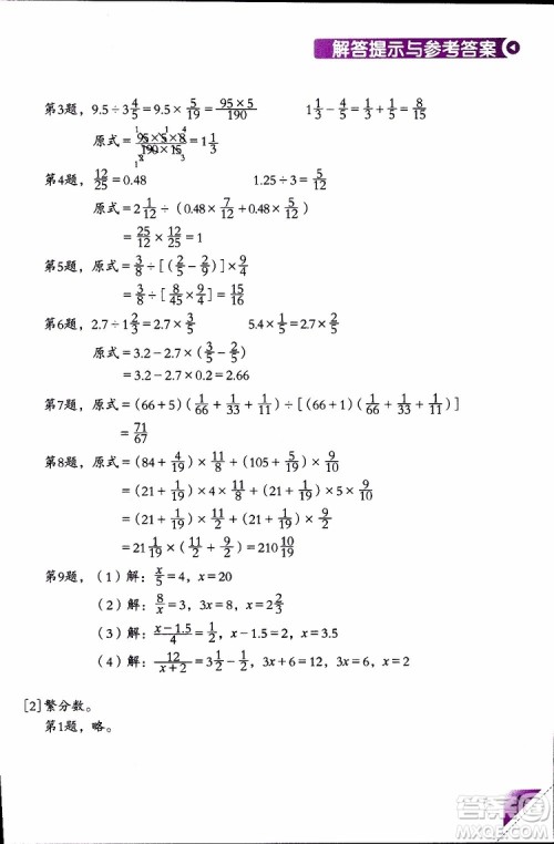
2019版学数学长智慧五年级下第10册第二版参考答案小编已经收集整理好了,感兴趣的伙伴注意查看哦

ISBN编码:9787308131193,出版社名称: 浙江大学出版社




























































1.阅读+讨论 我家孩子特别热爱阅读,这可能是受了我的影响,所以读书方面我不需要督促,他自己就积极主动去看了。那么光看了就够了吗?并不是!因为买的书虽然都是他喜欢的,里边的内容,个别语法,肯定会有疑问,这个就是我们每天作为重点讨论的话题。畅所欲言,不必扭捏。有时候我们可能会为了书中某个片段进行激烈的辩论,这非常有意思。你会发现,原来孩子的思维是这样的,他的角度跟我们完全不同。这个活动也是他最喜欢的,因为我没有规定,就是临场发挥,很放松。
2.实践+观察 周末多出去玩的时间是很多的,尤其是春暖花开,天气晴朗的时候,就跟他一起奔跑玩耍。就是玩,什么都不用多说,但是他会主动来跟我分享他的感受。比如看到什么小动物啦,有趣的植物等等,说得不一定详细,但是代表了他在观察,抓住了哪些细节。这个时候就多表扬,多交流。回家在临睡前,会跟我说:“妈妈,我觉得今天那个××有点像书里的故事……”各种神展开,脑洞大到你无法想象。
2019黄山二模语文试题及参考答案
2019-04-10 15:50:07
小编收集完整了2019黄山二模语文试题及参考答案,需要快看看吧2019黄山二模语文试题及参考答案黄山市2019届高中毕业班第二次质量检测语文试题及答案收集完毕,考完及时核对哦怎
2RJ人教版2019春新编基础训练中国历史七年级下册9787533625764参考答案
2019-04-10 15:22:32
这次小编收集整理的是RJ人教版2019春新编基础训练中国历史七年级下册9787533625764参考答案,感兴趣的来答案圈查看RJ人教版2019春新编基础训练中国历史七年级下册97875336257
2019年4月天一大联考高三第五次联考理综参考答案
2019-04-10 14:44:07
小编收集了2019年4月天一大联考高三第五次联考理综参考答案,需要答案的学生可以了解哦2019年4月天一大联考高三第五次联考理综参考答案2018-2019学年高中毕业班阶段性测试五
2019春新编基础训练七年级下册道德与法治人教版9787533642594参考答案
2019-04-10 14:32:56
这次小编收集整理的是2019春新编基础训练七年级下册道德与法治人教版9787533642594参考答案,感兴趣的来答案圈查看2019春新编基础训练七年级下册道德与法治人教版97875336425