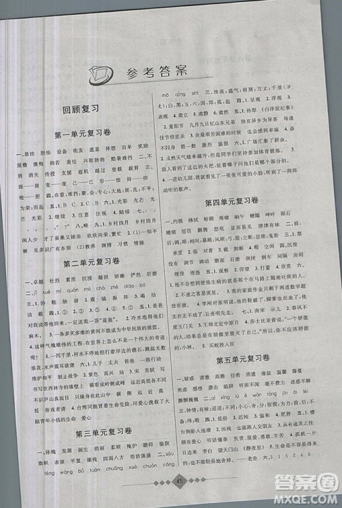
2019版第三学期赢在寒假语文五年级参考答案小编已经收集整理好了,需要巩固学习的伙伴练习完来核对一下吧

ISBN编号: 9787212084875书名: 第三学期赢在寒假寒假作业语文五年级,出版社名称: 安徽人民教育出版社




首先,父母和辅导老师共同来分析一下,孩子的语文和数学到底存在着哪些问题?比如说语文方面,主要是阅读理解和作文不好,那么我们就来详细的分析一下,不好在什么地方,如何提高,一定要有详细的方案。
我们都知道在阅读理解方面有不同的题型,我们可以一种题型一种题型的来练习,慢慢就能提高。而且答题确实是有技巧的,不同的题型,有不同的答题技巧。
关于作文方面,看看孩子是词汇量少还是根本不知道作文该怎么写。明白原因,然后一点点的来提高。
而且作文写的好坏与阅读量的大小有很大关系,阅读量大的孩子作文都能写好,词汇量,语感等各个方面都在提高了,阅读量很少的人作文一般都写不好。
2019版第三学期赢在寒假英语五年级上海专用新概念寒假用书参考答案
2019-01-31 15:15:25
2019版第三学期赢在寒假英语五年级上海专用新概念寒假用书参考答案小编 已经收集整理好了,需要参考的伙伴注意来答案圈查看哦2019版第三学期赢在寒假英语五年级上海专用新概
2019年第三学期赢在寒假语文三年级上海专版参考答案
2019-01-29 17:23:59
2019年第三学期赢在寒假语文三年级上海专版参考答案小编已经收集整理好了,小朋友练习后可以来核对一下看看自己的学习成果哦2019年第三学期赢在寒假语文三年级上海专版参考答
2019年第三学期赢在寒假数学三年级参考答案
2019-01-29 16:47:19
2019年第三学期赢在寒假数学三年级参考答案小编已经收集整理好了,需要辅导孩子的父母可以来答案圈看看哦2019年第三学期赢在寒假数学三年级参考答案ISBN编号: 9787212084936
人教版2019年智多星假期作业快乐寒假语文五年级答案
2019-01-26 10:47:16
小编收集了人教版2019年智多星假期作业快乐寒假语文五年级答案,需要的学生快及时核对吧人教版2019年智多星假期作业快乐寒假语文五年级答案ISBN9787546999746,由薛永兴主编的