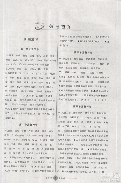
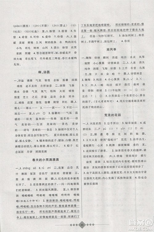
2019年第三学期赢在寒假语文三年级上海专版参考答案小编已经收集整理好了,小朋友练习后可以来核对一下看看自己的学习成果哦

ISBN编号: 9787212084851书名: 第三学期赢在寒假3年级语文,出版社名称: 安徽人民出版社




1、先会“读”
记单词不是靠“背”,而是靠“拼读”。这也就如同我们的汉语学习一样,我们自然而然地多读了,然后很自然的记住了。
这里建议学习一下自然拼读法,
通过直接学习26个字母及字母组合在单词中的发音规则,建立字母及字母组合与发音的感知,让孩子在轻松愉快的氛围中,了解和学习英语字母组合的奥妙,掌握英语拼读规律。
掌握了拼读,那么根据发音去记住单词,这样就能告别死记硬背。
2、学会“画”单词
涂涂画画,很多孩子都喜欢。你可以让孩子根据单词的意思,自己配上一张画作,制作单词卡。不要给他压力,想画成什么就画成什么。只要他在这个过程中,投入就好。投入了就专注,手、眼睛、大脑,都在同时帮助记忆,这种记忆单词的方法也是不错的。
2019年第三学期赢在寒假数学三年级参考答案
2019-01-29 16:47:19
2019年第三学期赢在寒假数学三年级参考答案小编已经收集整理好了,需要辅导孩子的父母可以来答案圈看看哦2019年第三学期赢在寒假数学三年级参考答案ISBN编号: 9787212084936
钟书金牌2019年寒假作业导与练化学高二年级上海专版答案
2019-01-29 09:06:16
钟书金牌2019年寒假作业导与练化学高二年级上海专版答案,小编收集在答案圈啦,请认真核对吧钟书金牌2019年寒假作业导与练化学高二年级上海专版答案ISBN编号: 9787567130166 出
钟书金牌2019上海专版高二年级寒假作业导与练参考答案
2019-01-29 08:50:13
小编收集了钟书金牌2019上海专版高二年级寒假作业导与练参考答案,请认真核对吧钟书金牌2019上海专版高二年级寒假作业导与练参考答案ISBN编号: 9787567129627 出版社名称: 上
钟书金牌2019寒假作业导与练高二英语上海专版参考答案
2019-01-28 16:41:37
小编收集了钟书金牌2019寒假作业导与练高二英语上海专版参考答案,请认真核对一下吧钟书金牌2019寒假作业导与练高二英语上海专版参考答案ISBN编号: 9787567129641 作者: 钟书
2019第三学期寒假衔接系列答案