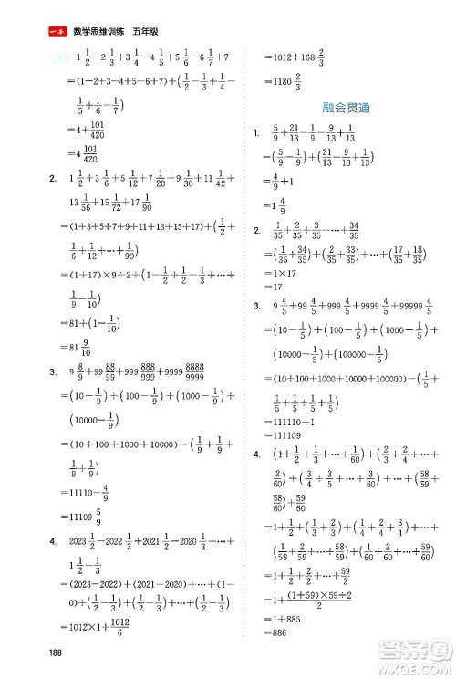
数学这门学科会随着年级的增加而增加难度,同学们要重视起来,对所学的知识进行练习训练,今天小编为同学们整理了湖南教育出版社2024年春一本数学思维训练五年级数学下册通用版答案,练习完的同学可以来答案圈核对一下答案。

答案如下,仅供参考:


























湖南教育出版社2024年春一本数学思维训练六年级数学下册通用版答案
2024-05-10 16:54:05
数学这门学科在六年级难度不小,同学们要多花时间,通过训练来巩固好所学的知识点,今天小编为同学们整理了湖南教育出版社2024年春一本数学思维训练六年级数学下册通用版答案,练习
辽宁教育出版社2024年春尖子生题库五年级数学下册北师大版答案
2024-05-10 15:35:15
数学这门学科在五年级难度不小,同学们可以通过实操来及时回顾所学的知识点,提升成绩,今天小编为同学们整理了辽宁教育出版社2024年春尖子生题库五年级数学下册北师大版答案,练习
延边大学出版社2024年春学练优五年级数学下册人教版答案
2024-05-10 11:33:48
数学这门学科在五年级难度会有所增加,同学们要利用好可以时间,在课下要多做练习,掌握好知识,今天小编为同学们整理了延边大学出版社2024年春学练优五年级数学下册人教版答案,练习
延边大学出版社2024年春学练优五年级数学下册北师大版答案
2024-05-10 10:44:31
今天小编为同学们整理了延边大学出版社2024年春学练优五年级数学下册北师大版答案,本练习题型类型多样,贴合同学们的考试题型,帮助同学们在课下训练理解能力,提升数学成绩,练习完