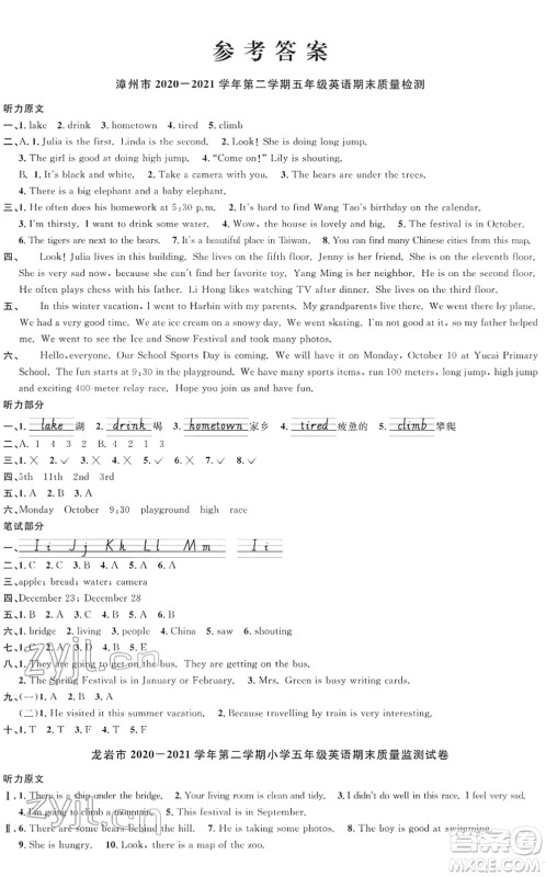
江西教育出版社2022阳光同学课时优化作业五年级英语下册福建教育版答案小编整理好了,本书由江西教育出版社出版发行,宋一璋主编,包含课后练习、每课一练、配套的单元期末检测卷等,对知识点进行了全方面的剖析,对学生的学习有很大帮助,做完的同学可以来答案圈核对一下,及时纠正错误哦。

以下就是五年级英语下册福建教育版的参考答案了,欢迎大家来查阅。需要其他的参考资料,也可以在答案圈找到哦。

























江西教育出版社2022阳光同学课时优化作业五年级英语下册教育科学版答案
2022-02-16 10:46:50
江西教育出版社2022阳光同学课时优化作业五年级英语下册教育科学版答案小编为大家整理好了,本书由江西教育出版社出版发行,宋一璋主编,对知识点进行了全方面的剖析,帮助学生理解
江西教育出版社2022阳光同学课时优化作业五年级英语下册外研版答案
2022-02-16 10:32:41
江西教育出版社2022阳光同学课时优化作业五年级英语下册外研版答案小编为大家整理好了,本书由江西教育出版社出版发行,宋一璋主编,和教学紧密融为一体,以提高学生学习英语的兴趣
江西教育出版社2022阳光同学课时优化作业五年级数学下册RJ人教版菏泽专版答案
2022-02-16 10:16:25
江西教育出版社2022阳光同学课时优化作业五年级数学下册RJ人教版菏泽专版答案小编整理好了,本书由江西教育出版社出版发行,宋一璋主编,结合菏泽地区教学特色,习题紧贴课堂教学,采
江西教育出版社2022阳光同学课时优化作业五年级科学下册JK教科版答案
2022-02-16 10:01:34
江西教育出版社2022阳光同学课时优化作业五年级科学下册JK教科版答案小编为大家整理好了,本书由江西教育出版社出版发行,宋一璋主编,巩固基础知识点的同时,运用多角度多思维方式