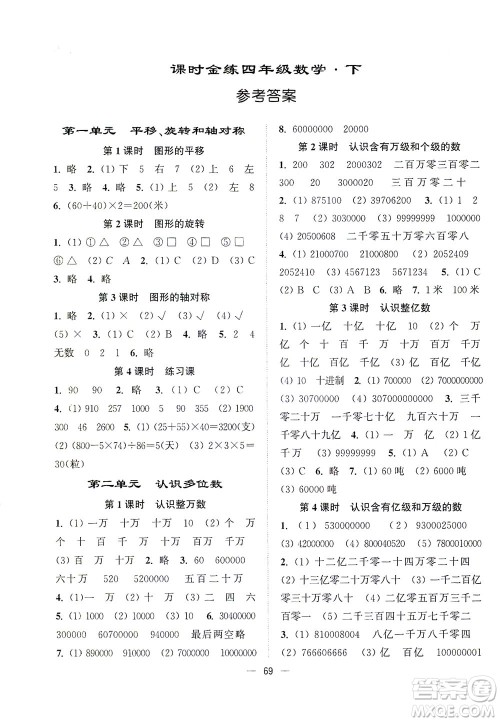
江苏凤凰美术出版社2021课时金练数学四年级下江苏版答案小编已经整理好了,结合江苏地区教育教材编写,通过课堂与课后训练相结合不断巩固提高学生对所学知识的理解、掌握和运用,练习完需要核对答案的伙伴可以来答案圈搜索查看!

本书系列的其他年级和科目小编也有收集整理,感兴趣的伙伴可以来答案圈搜索查看!












江苏凤凰美术出版社2021课时金练数学三年级下江苏版答案
2021-07-09 14:15:53
江苏凤凰美术出版社2021课时金练数学三年级下江苏版答案小编已经整理好了,结合江苏地区教育教材编写,通过课堂与课后训练相结合不断巩固提高学生对所学知识的理解、掌握和运用
江苏凤凰美术出版社2021课时金练英语三年级3B江苏版答案
2021-07-09 13:57:53
江苏凤凰美术出版社2021课时金练英语四年级4B江苏版答案小编已经整理好了,结合江苏地区教育教材编写,通过课堂与课后训练相结合不断巩固提高学生对所学知识的理解、掌握和运用
江苏凤凰美术出版社2021课时金练英语四年级4B江苏版答案
2021-07-09 11:40:49
江苏凤凰美术出版社2021课时金练英语四年级4B江苏版答案小编已经整理好了,结合江苏地区教育教材编写,通过课堂与课后训练相结合不断巩固提高学生对所学知识的理解、掌握和运用
江苏凤凰美术出版社2021名师点拨课课通教材全解析数学四年级下江苏版答案
2021-03-18 10:27:19
江苏凤凰美术出版社2021名师点拨课课通教材全解析数学四年级下江苏版答案小编已经收集整理好了!更多答案小伙伴可以来答案圈了解一下!江苏凤凰美术出版社2021名师点拨课课通教
课时金练系列答案