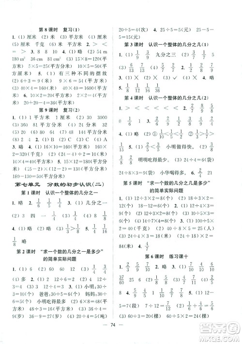
江苏凤凰美术出版社2021课时金练数学三年级下江苏版答案小编已经整理好了,结合江苏地区教育教材编写,通过课堂与课后训练相结合不断巩固提高学生对所学知识的理解、掌握和运用,练习完需要核对答案的伙伴可以来答案圈搜索查看!

本书系列的其他年级和科目小编也有收集整理,感兴趣的伙伴可以来答案圈搜索查看!












江苏凤凰美术出版社2021课时金练英语三年级3B江苏版答案
2021-07-09 13:57:53
江苏凤凰美术出版社2021课时金练英语四年级4B江苏版答案小编已经整理好了,结合江苏地区教育教材编写,通过课堂与课后训练相结合不断巩固提高学生对所学知识的理解、掌握和运用
江苏凤凰美术出版社2021课时金练英语四年级4B江苏版答案
2021-07-09 11:40:49
江苏凤凰美术出版社2021课时金练英语四年级4B江苏版答案小编已经整理好了,结合江苏地区教育教材编写,通过课堂与课后训练相结合不断巩固提高学生对所学知识的理解、掌握和运用
江苏凤凰美术出版社2020课时金练三年级英语上册江苏版答案
2020-08-13 16:25:32
2020课时金练三年级英语上册江苏版的答案小编已经收集整理好了,做完了之后可以来检查一下,看看自己做的对不对,不要直接照抄答案哦,其他学科的和其他年级的直接站内搜书名吧!江苏
江苏凤凰美术出版社2020课时金练三年级数学上册江苏版答案
2020-08-13 16:12:33
2020课时金练三年级数学上册江苏版的答案小编已经收集整理好了,做完了之后可以来检查一下,看看自己做的对不对,不要直接照抄答案哦,其他学科的和其他年级的直接站内搜书名吧!江苏
课时金练系列答案