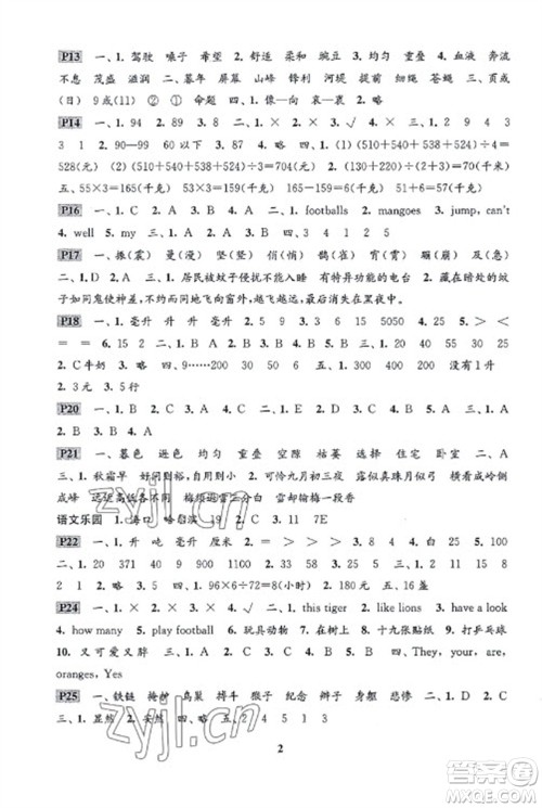
今天整理了江苏凤凰科学技术出版社2023快乐过寒假四年级通用版参考答案,赶紧看过来吧。这是为四年级学生准备的寒假作业答案,如果你有需要的话可以收藏起来。但是,答案仅供参考,千万别照抄。

答案如下:




江苏凤凰科学技术出版社2023快乐过寒假三年级通用版参考答案
2023-01-09 16:49:49
在小学阶段,寒假是学生们最为期待的假期,因为它连着过年,收红包、吃美食,真的是太开心了。不过,寒假作业是少不了的。今天整理了江苏凤凰科学技术出版社2023快乐过寒假三年级通用
陕西人民教育出版社2022小学语文暑假作业四年级通用版答案
2022-07-29 09:29:28
陕西人民教育出版社2022小学语文暑假作业四年级通用版答案小编为大家整理好了,本书由陕西人民教育出版社出版发行,书中把四五年级的知识有机衔接起来,将旧知识和新知识综合考查
江苏人民出版社2022快乐过寒假九年级合订本通用版答案
2022-01-25 08:13:19
江苏人民出版社2022快乐过寒假九年级合订本通用版答案小编为大家整理好了,本书由江苏人民出版社出版发行,书中把初三上下学期的知识结合起来,必备知识基础练,锁定主干知识,检测自
江苏人民出版社2022快乐过寒假八年级合订本通用版答案
2022-01-24 19:02:44
江苏人民出版社2022快乐过寒假八年级合订本通用版答案小编为大家整理好了,本书由江苏人民出版社出版发行,书中把初二上下学期的知识结合起来,让学生在寒假期间有计划、有目标的