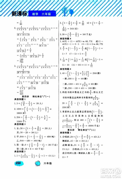
钟书金牌2019年小学奥数举一反三六年级A版参考答案小编已经收集整理好了,需要核对练习答案的伙伴来答案圈看看

ISBN编号: 9787538314090书名: 小学奥数举一反三(6年级)(全解版)(A),出版社名称: 上海大学出版社




























钟书金牌2019年小学奥数举一反三三年级A版参考答案
2019-08-06 09:22:29
钟书金牌2019年小学奥数举一反三三年级A版参考答案小编已经收集整理好了,需要核对练习答案的伙伴来答案圈看看钟书金牌2019年小学奥数举一反三三年级A版参考答案ISBN编号: 97
钟书金牌2019年小学奥数举一反三六年级B版参考答案
2019-08-06 09:08:07
钟书金牌2019年小学奥数举一反三六年级B版参考答案小编已经收集整理好了,需要核对练习答案的伙伴来答案圈看看钟书金牌2019年小学奥数举一反三六年级B版参考答案ISBN编号: 97
钟书金牌2019年小学奥数举一反三四年级B版参考答案
2019-08-06 08:24:38
钟书金牌2019年小学奥数举一反三四年级B版参考答案小编已经收集整理好了,需要核对练习答案的伙伴来答案圈看看钟书金牌2019年小学奥数举一反三四年级B版参考答案ISBN编号: 97
钟书金牌2019年小学奥数举一反三四年级A版参考答案
2019-08-06 08:10:36
钟书金牌2019年小学奥数举一反三四年级A版参考答案小编已经收集整理好了,需要核对练习答案的伙伴来答案圈看看钟书金牌2019年小学奥数举一反三四年级A版参考答案ISBN编号: 97