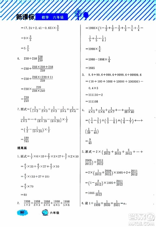
钟书金牌2019年小学奥数举一反三六年级B版参考答案小编已经收集整理好了,需要核对练习答案的伙伴来答案圈看看

ISBN编号: 9787567131187书名: 小学奥数举一反三(6年级B版),出版社名称: 上海大学出版社






































钟书金牌2019年小学奥数举一反三四年级B版参考答案
2019-08-06 08:24:38
钟书金牌2019年小学奥数举一反三四年级B版参考答案小编已经收集整理好了,需要核对练习答案的伙伴来答案圈看看钟书金牌2019年小学奥数举一反三四年级B版参考答案ISBN编号: 97
钟书金牌2019年小学奥数举一反三四年级A版参考答案
2019-08-06 08:10:36
钟书金牌2019年小学奥数举一反三四年级A版参考答案小编已经收集整理好了,需要核对练习答案的伙伴来答案圈看看钟书金牌2019年小学奥数举一反三四年级A版参考答案ISBN编号: 97
钟书金牌2019年小学奥数举一反三五年级A版参考答案
2019-08-06 08:02:31
钟书金牌2019年小学奥数举一反三五年级A版参考答案小编已经收集整理好了,需要核对练习答案的伙伴来答案圈看看钟书金牌2019年小学奥数举一反三五年级A版参考答案ISBN编号: 97
钟书金牌2019年小学奥数举一反三三年级B版参考答案
2019-08-05 17:53:39
这次小编收集整理的是钟书金牌2019年小学奥数举一反三三年级B版参考答案,需要核对练习答案的伙伴来答案圈看看钟书金牌2019年小学奥数举一反三三年级B版参考答案ISBN编号: 97