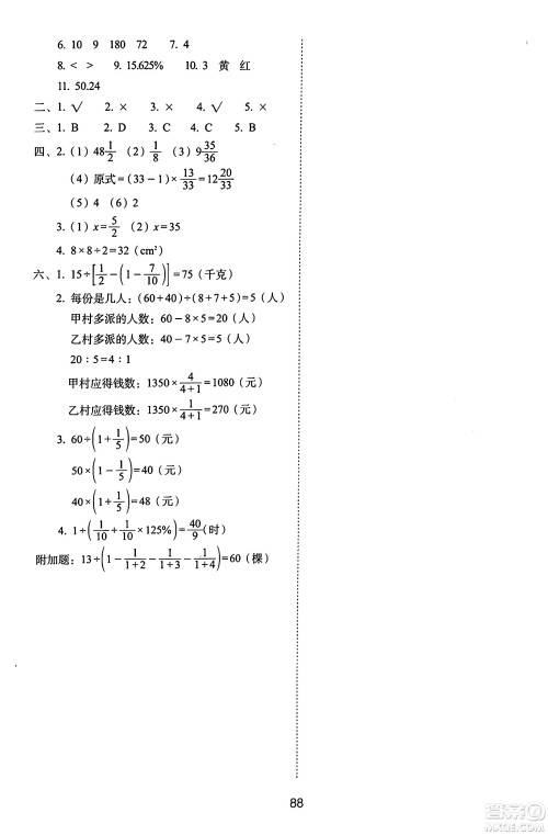
数学这门学科需要同学们多进行实操练习,这样可以让同学们更系统的运用所学知识,提升成绩,今天小编为同学们整理了长春出版社2024年秋68所期末冲刺100分完全试卷六年级数学上册青岛版答案,本书的ISBN为9787544551922,练习完的同学可以来答案圈核对一下答案。

答案如下,仅供参考:








长春出版社2024年秋68所期末冲刺100分完全试卷六年级数学上册苏教版答案
2024-12-31 15:55:49
数学这门学科需要同学们多做练习,通过练习进行实操运用所学知识点,检测同学们知识掌握程度,今天小编为同学们整理了长春出版社2024年秋68所期末冲刺100分完全试卷六年级数学上
长春出版社2024年秋68所期末冲刺100分完全试卷六年级数学上册冀教版答案
2024-12-31 15:46:49
数学这门学科需要同学们多做练习,通过练习巩固所学知识,同时可以拓展同学们的思维能力,今天小编为同学们整理了长春出版社2024年秋68所期末冲刺100分完全试卷六年级数学上册冀
长春出版社2024年秋68所期末冲刺100分完全试卷六年级数学上册北师大版答案
2024-12-31 15:30:05
数学这门学科需要同学们有灵活的思维能力,同学们想要取得高分可以通过练习进行拓展,今天小编为同学们整理了长春出版社2024年秋68所期末冲刺100分完全试卷六年级数学上册北师
长春出版社2024年秋68所期末冲刺100分完全试卷六年级英语上册广州版答案
2024-12-31 15:16:54
六年级同学们的学习压力会增大,同学们想要取得高分可以在课下多做练习,提升英语成绩,今天小编为同学们整理了长春出版社2024年秋68所期末冲刺100分完全试卷六年级英语上册广州