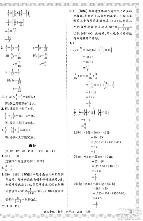
六年级数学难度不小,同学们要在课下多做练习训练,通过实操运用所学知识点,从中发现自己薄弱的地方,今天小编为同学们整理了江西人民出版社2024年秋王朝霞期末真题精编六年级数学上册人教版大武汉专版答案,练习完的同学可以来答案圈核对一下答案。

答案如下,仅供参考:































江西人民出版社2024年秋王朝霞期末真题精编六年级数学上册人教版安阳濮阳专版答案
2024-12-24 15:22:31
数学这门学科会随着年级的增加而增长,同学们要多做练习训练,实操运用所学的知识点,今天小编为同学们整理了江西人民出版社2024年秋王朝霞期末真题精编六年级数学上册人教版安阳
江西人民出版社2024年秋王朝霞期末真题精编六年级数学上册人教版南阳专版答案
2024-12-24 15:04:56
数学这门学科需要同学们多做练习,通过练习训练提升解题能力,检测知识点掌握程度,今天小编为同学们整理了江西人民出版社2024年秋王朝霞期末真题精编六年级数学上册人教版南阳专
江西人民出版社2024年秋王朝霞期末真题精编六年级英语上册剑桥版大武汉专版答案
2024-12-24 14:55:24
英语这门学科会随着年级的增加而增加,同学们想要提升英语成绩需要多记单词多做练习,今天小编为同学们整理了江西人民出版社2024年秋王朝霞期末真题精编六年级英语上册剑桥版大
江西人民出版社2024年秋王朝霞期末真题精编六年级英语上册人教PEP版安阳濮阳专版答案
2024-12-24 14:38:34
今天小编为同学们整理了江西人民出版社2024年秋王朝霞期末真题精编六年级英语上册人教PEP版安阳濮阳专版答案,本练习详细解读教材上的知识点,讲解重点突出,帮助同学们解决学习