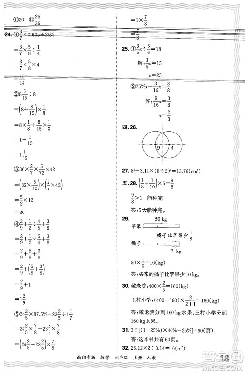
数学这门学科需要同学们多做练习,通过练习训练提升解题能力,检测知识点掌握程度,今天小编为同学们整理了江西人民出版社2024年秋王朝霞期末真题精编六年级数学上册人教版南阳专版答案,练习完的同学可以来答案圈核对一下答案。

答案如下,仅供参考:































江西人民出版社2024年秋王朝霞期末真题精编六年级英语上册剑桥版大武汉专版答案
2024-12-24 14:55:24
英语这门学科会随着年级的增加而增加,同学们想要提升英语成绩需要多记单词多做练习,今天小编为同学们整理了江西人民出版社2024年秋王朝霞期末真题精编六年级英语上册剑桥版大
江西人民出版社2024年秋王朝霞期末真题精编六年级英语上册人教PEP版安阳濮阳专版答案
2024-12-24 14:38:34
今天小编为同学们整理了江西人民出版社2024年秋王朝霞期末真题精编六年级英语上册人教PEP版安阳濮阳专版答案,本练习详细解读教材上的知识点,讲解重点突出,帮助同学们解决学习
江西人民出版社2024年秋王朝霞期末真题精编六年级英语上册人教PEP版郑州专版答案
2024-12-24 14:24:34
英语这门学科需要同学们多记单词多做练习,通过练习了解不同的知识点,同时可以巩固所学的知识,今天小编为同学们整理了江西人民出版社2024年秋王朝霞期末真题精编六年级英语上册
江西人民出版社2024年秋王朝霞期末真题精编八年级物理上册沪科版河南郑州专版答案
2024-12-24 13:53:14
物理这门学科在八年级难度不大,同学们可以通过训练来巩固课堂上的内容,打好基础,今天小编为同学们整理了江西人民出版社2024年秋王朝霞期末真题精编八年级物理上册沪科版河南郑