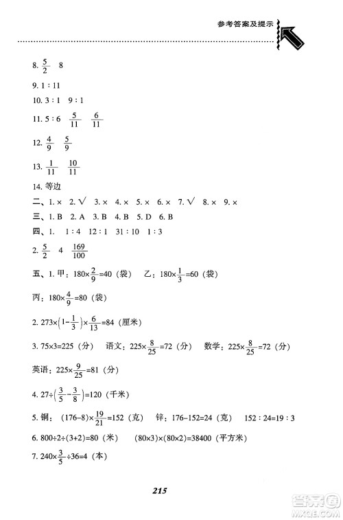
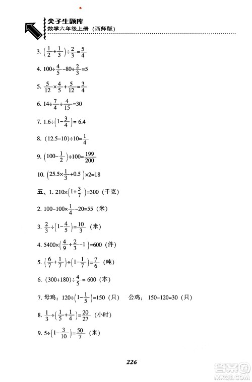
进入六年级,数学这门学科的难度不小,同学们要通过训练来掌握好所学的知识点,提升数学这门学科的成绩,今天小编为同学们整理了辽宁教育出版社2024年秋尖子生题库六年级数学上册西师版答案,本书的ISBN为9787538279900,练习完的同学可以来答案圈核对一下答案。

答案如下,仅供参考:







































辽宁教育出版社2024年秋尖子生题库六年级数学上册北师大版答案
2024-10-30 15:24:51
今天小编为同学们整理了辽宁教育出版社2024年秋尖子生题库六年级数学上册北师大版答案,本练习把同学们所学的知识点整合,帮助同学们检测所学知识点的掌握程度,提升综合能力及这
人民教育出版社2024年秋同步解析与测评学练考六年级数学上册人教版吉林专版答案
2024-10-25 15:50:27
数学不是死记硬背公式,也不是不停的刷题,而是要同学们理解数学原理,培养逻辑思维,数学就在生活中,今天小编为同学们整理了人民教育出版社2024年秋同步解析与测评学练考六年级数学
人民教育出版社2024年秋人教金学典同步练习册同步解析与测评六年级数学上册人教版云南专版答案
2024-10-24 09:14:44
数学这门学科需要同学们有灵活的思维能力,同学们可以通过训练来拓展思维,今天小编为同学们整理了人民教育出版社2024年秋人教金学典同步练习册同步解析与测评六年级数学上册人
江苏凤凰教育出版社2024年秋数学补充习题六年级数学上册苏教版答案
2024-10-22 17:42:54
今天小编为同学们整理了江苏凤凰教育出版社2024年秋数学补充习题六年级数学上册苏教版答案,本练习内容丰富全面,抓题典型,答案加解析相搭配,能更好的帮助同学们理解题目,同时1这