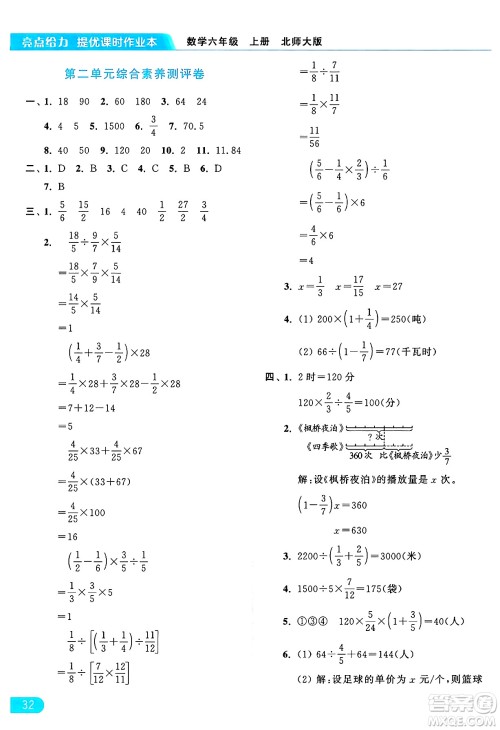
今天小编为同学们整理了北京教育出版社2024年秋亮点给力提优课时作业本六年级数学上册北师大版答案,本练习帮助同学们复习课堂上的知识内容,通过不断练习进行巩固提升,同时可以帮同学们攻破薄弱知识点,练习完的同学可以来答案圈核对一下答案。

答案如下,仅供参考:














































北京教育出版社2024年秋亮点给力提优课时作业本六年级数学上册人教版答案
2024-08-22 16:48:44
今天小编为同学们整理了北京教育出版社2024年秋亮点给力提优课时作业本六年级数学上册人教版答案,本练习帮助同学们课下巩固课堂上所学的知识,检测同学们知识点的掌握程度,帮助
北京教育出版社2024年秋亮点给力提优课时作业本六年级英语上册译林版答案
2024-08-22 16:27:19
今天小编为同学们整理了北京教育出版社2024年秋亮点给力提优课时作业本六年级英语上册译林版答案,本练习内容丰富全面,帮助同学们进行实操运用课堂上所学的知识点,帮助同学们查
延边教育出版社2024年秋亮点给力提优课时作业本九年级物理上册苏科版答案
2024-08-22 16:03:38
物理这门学科在九年级难度不小,同学们要重视起来,在课下要多做练习,掌握好所学的知识点,提升物理成绩,今天小编为同学们整理了延边教育出版社2024年秋亮点给力提优课时作业本九年
延边教育出版社2024年秋亮点给力提优课时作业本九年级语文上册人教版答案
2024-08-22 15:54:06
今天小编为同学们整理了延边教育出版社2024年秋亮点给力提优课时作业本九年级语文上册人教版答案,本练习帮助同学们巩固所学的知识点,通过练习实操运用所学知识,可以从中发现自