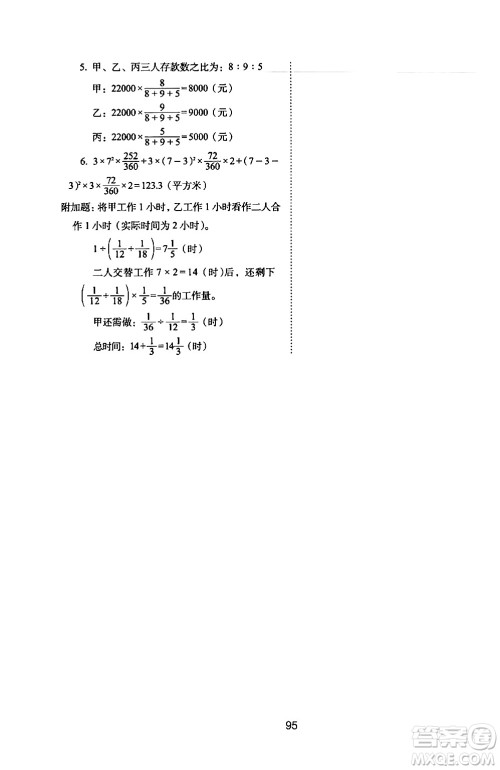
数学这门学科需要同学们多做练习,通过练习训练提升解题能力,实操运用所学的知识点,今天小编为同学们整理了长春出版社2024年春期末冲刺100分完全试卷六年级数学下册苏教版答案,练习完的同学可以来答案圈核对一下答案。

答案如下,仅供参考:











长春出版社2024年春期末冲刺100分完全试卷一年级数学下册西师版答案
2024-06-18 17:10:48
今天小编为同学们整理了长春出版社2024年春期末冲刺100分完全试卷一年级数学下册西师版答案,本练习帮助同学们课下巩固课堂上所学的知识,检测同学们知识点的掌握程度,帮助同学
长春出版社2024年春期末冲刺100分完全试卷二年级数学下册西师版答案
2024-06-18 16:59:10
今天小编为同学们整理了长春出版社2024年春期末冲刺100分完全试卷二年级数学下册西师版答案,本练习贴合教材编排。帮助同学们进行课下回顾复习,巩固所学知识点,提高同学们的成
长春出版社2024年春期末冲刺100分完全试卷三年级数学下册西师版答案
2024-06-18 16:39:47
今天小编为同学们整理了长春出版社2024年春期末冲刺100分完全试卷三年级数学下册西师版答案,本练习内容丰富全面,帮助同学们进行实操运用课堂上所学的知识点,帮助同学们查缺补
长春出版社2024年春期末冲刺100分完全试卷四年级数学下册西师版答案
2024-06-18 16:28:37
今天小编为同学们整理了长春出版社2024年春期末冲刺100分完全试卷四年级数学下册西师版答案,本练习可以帮助同学们回顾所学知识点,吃透课堂上及课本上的知识,提高同学们的数学