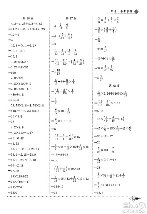
今天小编为同学们整理了龙门书局2024年春黄冈小状元同步计算天天练六年级数学下册人教版答案,本练习帮助同学们提高数学计算能力,通过训练减少错误率,提高同学们的效率,练习完的同学可以来答案圈核对一下答案。

答案如下,仅供参考:


















龙门书局2024年春黄冈小状元解决问题天天练六年级数学下册人教版答案
2024-05-11 11:00:29
数学这门学科在六年级难度不小,同学们可以通过学科开掌握好每日所学的知识点,今天小编为同学们整理了龙门书局2024年春黄冈小状元解决问题天天练六年级数学下册人教版答案,练习
二十一世纪出版社集团2024年春数学思维训练六年级数学下册通用版答案
2024-05-11 10:39:07
数学这门学科在六年级难度不小,同学们要重视起来,通过训练来进行课后练习,今天小编为同学们整理了二十一世纪出版社集团2024年春数学思维训练六年级数学下册通用版答案,练习完的
湖南教育出版社2024年春一本数学思维训练六年级数学下册通用版答案
2024-05-10 16:54:05
数学这门学科在六年级难度不小,同学们要多花时间,通过训练来巩固好所学的知识点,今天小编为同学们整理了湖南教育出版社2024年春一本数学思维训练六年级数学下册通用版答案,练习
辽宁教育出版社2024年春尖子生题库六年级数学下册北师大版答案
2024-05-10 15:44:38
进入六年级,数学这门学科的难度不小,同学们可以通过实操来运用所学的知识点,提升成绩,今天小编为同学们整理了辽宁教育出版社2024年春尖子生题库六年级数学下册北师大版答案,练习