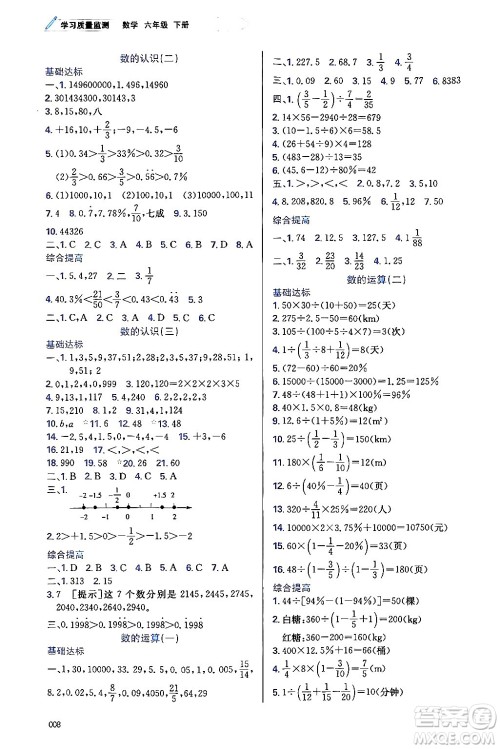
今天小编为同学们整理了天津教育出版社2024年春学习质量监测六年级数学下册人教版答案,本练习帮助同学们发现并解决学习中存在的问题,便于以后查漏补缺,进行系统的学习,练习完的同学可以来答案圈核对一下答案。

答案如下,仅供参考:
















天津教育出版社2024年春学习质量监测六年级英语下册人教版答案
2024-03-05 18:05:50
英语这门学科在六年级难度不小,同学们在课下要多记单词,多做练习,巩固好所学的知识点,今天小编为同学们整理了天津教育出版社2024年春学习质量监测六年级英语下册人教版答案,练习
天津教育出版社2024年春学习质量监测七年级地理下册人教版参考答案
2024-03-05 17:52:04
在初一下学期,地理科目的学习内容增加了不少,大家得多花时间做练习,千万别偷懒。小编整理了天津教育出版社2024年春学习质量监测七年级地理下册人教版参考答案,一起来看看,希望能
天津教育出版社2024年春学习质量监测七年级生物下册人教版参考答案
2024-03-05 17:40:08
今天分享天津教育出版社2024年春学习质量监测七年级生物下册人教版参考答案,内容新颖,感兴趣的可以收藏起来。这是为初一生搜集到的生物练习册答案,希望能帮到你们。不过,答案仅
天津教育出版社2024年春学习质量监测七年级语文下册人教版参考答案
2024-03-05 17:12:09
我们知道,初一年级的语文科目学习压力不算大,但是为了升学,大家得把基础打好,课下的练习要积极完成。小编分享天津教育出版社2024年春学习质量监测七年级语文下册人教版参考答案