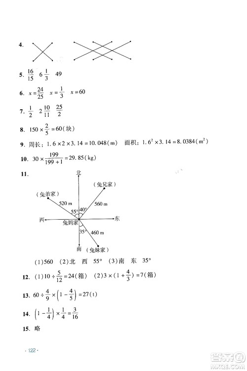
数学这门学科在六年级难度不小,同学们要多做练习,通过实操来运用所学的知识,提升成绩,今天小编为同学们整理了吉林出版集团股份有限公司2024假日数学六年级数学人教版答案,练习完的同学们可以来答案圈核对一下答案。

答案如下,仅供参考:




















开明出版社2024寒假生活六年级数学人教版参考答案
2024-02-09 17:09:57
今天搜集了开明出版社2024寒假生活六年级数学人教版参考答案,内容丰富,欢迎大家积极差异。对于六年级的小学生来说,数学科目的学习不能忽视,大家要多花时间,寒假机会要把握住。开
河北少年儿童出版社2024寒假生活六年级数学通用版参考答案
2024-02-09 16:45:14
在六年级,数学科目的学习难度提高了,学生们要坚持做练习,寒假期间也得把握住机会,千万别偷懒。小编搜集了河北少年儿童出版社2024寒假生活六年级数学通用版参考答案,赶紧看过来吧
方圆电子音像出版社2024假期生活寒假六年级数学通用版参考答案
2024-02-09 16:36:23
我们知道,小学阶段的数学科目很重要,到了六年级,大家得珍惜时间,课下务必积极完成练习,这样才能拿到好成绩。小编搜集了方圆电子音像出版社2024假期生活寒假六年级数学通用版参考
河北美术出版社2024卓远寒假生活六年级数学通用版参考答案
2024-02-09 16:08:52
今天分享河北美术出版社2024卓远寒假生活六年级数学通用版参考答案,内容丰富,感兴趣的可以看过来。这是为小学六年级学生搜集到的寒假练习册答案,希望能帮到你们,切勿照抄哦!河北