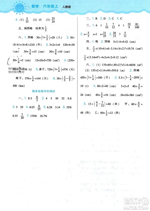
小编分享辽海出版社2023年秋新课程能力培养六年级数学上册人教版参考答案,感兴趣的可以看过来。对于小学六年级的学生来说,数学科目的学习要多花心思,课下务必勤做练习,这样才能拿到好成绩。

答案如下:








辽海出版社2023年秋新课程能力培养八年级地理上册人教版大连专版参考答案
2023-11-28 11:35:28
对于初二年级的学生来说,地理科目的学习要多花时间,课下务必积极完成练习,这样才能有效提分。小编分享辽海出版社2023年秋新课程能力培养八年级地理上册人教版大连专版参考答案
辽海出版社2023年秋新课程能力培养八年级生物上册北师大版参考答案
2023-11-28 11:17:50
今天分享辽海出版社2023年秋新课程能力培养八年级生物上册北师大版参考答案,感兴趣的可以看过来。这是为初二年级学生搜集到的生物练习册答案,希望能帮助你们提高成绩。当然,答
辽海出版社2023年秋新课程能力培养八年级地理上册人教版参考答案
2023-11-28 11:10:43
进入初二年级,地理科目的学习内容增加了不少,大家想拿到好成绩就得勤做练习。今天分享辽海出版社2023年秋新课程能力培养八年级地理上册人教版参考答案,内容丰富,感兴趣的可以看
辽海出版社2023年秋新课程能力培养七年级数学上册人教版大连专版参考答案
2023-11-28 09:47:02
在初一年级,数学科目的学习内容增加了不少,大家要多花时间,课下务必勤做练习,这样才能拿到好成绩。小编分享辽海出版社2023年秋新课程能力培养七年级数学上册人教版大连专版参考