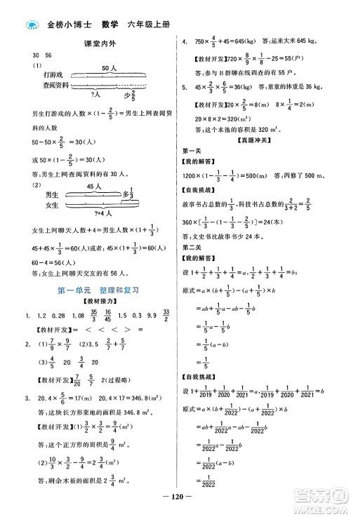
今天小编为同学们整理了辽宁少年儿童出版社2023年秋世纪金榜金榜小博士六年级数学上册通用版答案,本练习将所学的知识糅合到训练当中,帮助同学们更好的巩固所学的知识点,提升成绩,练习完的同学们可以来答案圈核对一下答案。

答案如下:
























辽宁少年儿童出版社2023年秋世纪金榜金榜小博士三年级英语上册通用版答案
2023-11-27 10:24:19
英语这门学科需要同学们多花时间,多记单词多做练习,巩固好所学的知识点,今天小编为同学们整理了辽宁少年儿童出版社2023年秋世纪金榜金榜小博士三年级英语上册通用版答案,练习完
山东科学技术出版社2023年秋新思维伴你学达标测试卷六年级数学上册人教版参考答案
2023-11-27 10:16:11
在小学六年级,数学科目的学习内容不少,大家要把握机会,课下也得勤做练习。小编分享山东科学技术出版社2023年秋新思维伴你学达标测试卷六年级数学上册人教版参考答案,感兴趣的可
辽宁少年儿童出版社2023年秋世纪金榜金榜小博士四年级英语上册通用版答案
2023-11-27 10:09:23
四年级的英语难度不小,同学们想要取得高分在课下要多做练习巩固好知识,提升成绩,今天小编为同学们整理了辽宁少年儿童出版社2023年秋世纪金榜金榜小博士四年级英语上册通用版答
辽宁少年儿童出版社2023年秋世纪金榜金榜小博士五年级英语上册通用版答案
2023-11-27 09:53:36
五年级的英语难度会有所增加,同学们要重视起来,在课下要多做练习,巩固好知识点,今天小编为同学们整理了辽宁少年儿童出版社2023年秋世纪金榜金榜小博士五年级英语上册通用版答案