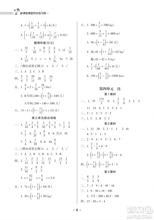
今天整理了海南出版社2023年秋新课程课堂同步练习册六年级数学上册人教版参考答案,感兴趣的可以看过来。对于小学六年级的学生来说,数学科目的学习不容易,大家想拿到高分就得认真做练习,不能偷懒哦!

答案如下:














海南出版社2023年秋新课程课堂同步练习册六年级数学上册苏教版参考答案
2023-09-15 15:26:40
我们知道,六年级的学习压力不小,学生们每天要把握课堂时间,课下也得积极完成练习,这样才能拿到好成绩。小编分享海南出版社2023年秋新课程课堂同步练习册六年级数学上册苏教版参
海南出版社2023年秋新课程课堂同步练习册六年级英语上册人教版参考答案
2023-09-15 15:09:54
在小学六年级,英语科目的学习要重视起来,每天上完课记得做练习,争取把知识点巩固好。小编分享海南出版社2023年秋新课程课堂同步练习册六年级英语上册人教版参考答案,赶紧看过来
海南出版社2023年秋新课程课堂同步练习册六年级英语上册外研版参考答案
2023-09-15 14:32:44
在小学六年级,英语科目的学习非常重要,大家要把握机会,课下积极完成练习,这样才能拿到好成绩。今天分享海南出版社2023年秋新课程课堂同步练习册六年级英语上册外研版参考答案,一
海南出版社2023年秋新课程课堂同步练习册六年级语文上册人教版参考答案
2023-09-15 14:20:53
小编整理了海南出版社2023年秋新课程课堂同步练习册六年级语文上册人教版参考答案,感兴趣的可以看过来。这是为六年级学生搜集到的练习册答案,内容丰富,希望能帮到你们。注意,答